Ã. Â. Ïëåõàíîâ
Сочинения Òîì I.
Экономическая теория Карла Родбертуса-Ягецова



III.
(О меновой стоимости)

Учение Родбертуса о причине кризисов и пауперизма так и оста­лось незаконченным. Ни в одном из своих появившихся в печати со­чинений Родбертус не перешел еще к доказательству того «предвари­тельного положения», что «заработная плата не увеличилась или даже упала», несмотря на колоссальное возрастание производительности труда. Правда, положение это составляло вполне логичный вывод из того закона заработной платы Тюрго — Рикардо, который, по справедливому замечанию Брентано, «признается всеми серьезными экономи­стами», а оспаривается, заметим мы мимоходом, только некоторыми представителями «историкореалистической школы». Но в экономиче­ской науке, также как и в науках естественных, дедукция должна и может стоять в тесной связи с индукцией, и добытые путем вывода положения должны быть проверены на фактах. Разумеется, в социаль­ной науке невозможен опыт, составляющий такой могучий рычаг в развитии некоторых отраслей естествознания, но история и статистика представляют собою обширное поле для наблюдения, играющего не менее важную роль в точных науках. Чтобы поставить вне всякого сомнения свое учение о заработной плате, Родбертус должен был про­верить, на основании данных статистики и истории, вывод, сделанный им из закона Тюрго — Рикардо. Это тем более было необходимо,  что Рикардо знал, как известно, только «цветочки» капитализма, «ягодки» же его начали поспевать в половине нашего века. Перед глазами совре­менников Родбертуса развертывалась гораздо более яркая картина по­ложения рабочих классов в капиталистическом обществе, и они должны были пополнить, так или иначе, теорию Рикардо. Родбертус хорошо сознавал эту необходимость, и, как видно из писем его к архитектору Петерсу, его учение о заработной плате опиралось не на одну только дедукцию. «Сила машин в современной Англии, — говорит он в одном из этих писем, — равняется, по крайней мере, силе 600 миллионов ра­ботников. В 1800 году она не превышала силы 50 миллионов рабочих. На основании истории распределения национального дохода Англии с 1800 года и разделения его на заработную плату, поземельную ренту и прибыль, мне удастся, как я надеюсь, доказать, что продукт труда 550 миллионов неутомимых день и ночь трудящихся деревянных и железных работников ни на йоту не увеличил собою общей суммы зара­ботка живых работников, но целиком был поглощен поземельной рен­той и прибылью». К сожалению, занятый борьбой против укоренив­шихся в науке «предрассудков», Родбертус не успел окончить своего опыта о распределении дохода в Англии, этой классической стране ка­питализма. С этого опыта только и началось бы, строго говоря, дока­зательство учения его о заработной плате, которому он считал нужным предпослать изложение правильной теории распределения[1].

Что касается учения Родбертуса о распределении, продуктов в современном обществе, то оно, действительно, явилось лишь «после­довательным выводом» из основных положений школы Рикардо во всех своих частях, кроме теории поземельной ренты. Мы сказали уже выше, что из всех воззрений Рикардо только учение его о производитель­ности земледельческого труда противоречило теории кризисов и пау­перизма Родбертуса. Так понимал, повидимому, свое отношение к Ри­кардо и сам Родбертус. В письме к Ад. Вагнеру от 20го июня 1872 года он говорит, что теория поземельной ренты Рикардо несогласима с его учением о пауперизме и кризисах только в одной (и даже несуществен­ной) своей части, — в той именно части, где высказывается убеждение, что земледельческий труд становится все менее и менее производи­тельным и пища становится поэтому все дороже. «Мое же учение,— продолжает он, — основывается на совершенно обратном положении: я утверждаю, что земледельческий труд становится все более и более производительным, и что цена пищи, измеряемая трудом, постоянно падает»[2]. Но в своих учениях Родбертус не ограничился, к сожале­нию, опровержением этой «несущественной части» учения Рикардо о ренте. Он отнес к числу научных «предрассудков» все это учение и решился противопоставить ему свою собственную теорию поземельной ренты, которая вообще составляет самую слабую сторону всего учения его о распределении. Этой теории он придавал огромное значение и, весьма невыгодным для себя образом, связывал с нею все остальные свои «теоретические положения» и все свои «практические» планы. Каковы именно были взгляды Родбертуса на природу и происхождение поземельной ренты, об этом нам придется говорить в следующих гла­вах, теперь же мы должны познакомить читателя с основными «теоре­мами» его учения о распределении.

Первое, по важности, место занимает между ними «теорема», гла­сящая, что «все предметы потребления с экономической точки зре­ния — должны быть рассматриваемы как продукты труда, и только труда». Теорема эта «приобрела уже, по словам нашего автора, полное право гражданства в учениях английских экономистов, нашла своего защитника даже в лице Бастиа, хотя и получила в его «Экономиче­ских гармониях» совершенно неверное приложение, но — что всего важнее — она глубоко вкоренилась в народном сознании, несмотря на софизмы некоторых таящих заднюю мысль учений»[3]. Посмотрим же, как поясняет и доказывает ее Родбертус.

Если бы, — говорит он, — предметы потребления существовали в неограниченном количестве и притом, как воздух или солнечный свет, непосредственно могли бы служить для удовлетворения человеческих потребностей, то люди не имели бы никаких побуждений к труду и ведению хозяйства. Но в томто и дело, что предметов, самой природой приспособленных к нуждам человека, очень немного. Большинство же существующих в природе предметов должно быть подвергнуто извест­ной предварительной обработке, чтобы служить для удовлетворения человеческих потребностей. «Щедрость природы должна быть допол­нена деятельностью человека. Само собою разумеется, что деятель­ность его может быть весьма неодинаковой по своему характеру и интенсивности. Между собиранием дикорастущих плодов и тою в выс­шей степени сложной работой, которая необходима для постройки па­ровой машины, лежит целая бездна. Но, несмотря на все разнообразие проявлений человеческой деятельности, природа ее всегда остается неизменной. «Во всех различных случаях она есть не что иное, как затрата сил и времени человека, с целью приобретения известного предмета. Во всех этих случаях она остается трудом»[4].

Теперь понятно, какой смысл имеет хозяйство. Человеческие по­требности очень разнообразны и многочисленны. Приобрести необходи­мые для их удовлетворения предметы человек может лишь ценою за­траты своего времени и своих усилий. Как находящееся в его распоря­жении время, так и способность его к труду, разумеется, не безгра­ничны. Он должен поэтому стараться расходовать свой труд и свое время, равно как и приобретенные ценою их затраты продукты, с воз­можно большею осмотрительностью: он должен вести хозяйство. В область этого хозяйства будут, очевидно, входить лишь те предметы, приобретение которых стоило человеку известного труда, или, как вы­ражается Родбертус, «причины, сделавшие необходимым ведение хозяй­ства, определяют и границы его области». Все предметы, обладателем которых человек становится без всяких усилий с своей стороны, будут естественными благами, не представляющими собою объектов его хо­зяйственной деятельности.

Вместе с этим «определением границ хозяйственной области» че­ловека становится ясным и то положение, что предметы потребления стоят труда, и только труда, — другими словами, что «в истории воз­никновения предметов потребления нет помимо труда других элемен­тов, которые можно было бы рассматривать с точки зрения стоимости этих предметов. Никто, конечно, не станет отрицать, что для произ­водства известного продукта нужен еще материал, к которому мог бы быть приложен труд человека. Но этот материал дает ему природа. И нужно было бы, — замечает наш автор, — олицетворять природу, чтобы говорить о том, чего стоит для нее материал или так называемые силы ее, утилизируемые человеком для облегчения своего труда. А если нельзя говорить о том, чего стоит первоначальный материал природе, то нельзя, стало быть, и вообще говорить о его стоимости. Он суще­ствует помимо труда человека, а кроме человека нет другого субъекта, которому мог бы стоить чеголибо тот или другой предмет: природа безлична. Поэтому человек может быть очень благодарен природе за то, что силы ее облегчают ему труд производства необходимых для него продуктов; но в хозяйстве его эти продукты будут иметь значение лишь постольку, поскольку ему придется дополнять своим трудом дело природы. «Кто смотрит на предметы потребления иначе, тот рас­сматривает их с естественноисторической точки зрения», — замечает Родбертус[5].

При этом нужно помнить, что экономическая наука имеет дело только с материальными продуктами и только с тем трудом, который имеет целью производство этих продуктов. С легкой руки Ж. Б. Сэя французские экономисты особенно склонны были умалять различие между всеми видами «производительной деятельности» человека. Они утверждали, что труд юристов, писателей и чиновников так же входит в область национально-экономических исследований, как труд маши­ниста или земледельца. Впрочем, на деле и они не оставались, по сло­вам Родбертуса, верными этому взгляду. «Заявивши на первых страни­цах своих сочинений, что нематериальные продукты также подлежат ведению хозяйственной науки, они ни единым словом не упоминали об этих продуктах во всех остальных частях своих исследований» и рас­суждали лишь о материальных предметах потребления. Если бы они захотели быть последовательными, то должны были бы «писать не о политической экономии, а о социальной науке в обширном смысле этого слова; тогда можно было бы говорить о теологии или юриспру­денции рядом с технологией или сельским хозяйством». Но деятель­ность, направленная на добывание материальных продуктов, во всяком случае, настолько важна и обширна, что может и должна составить предмет особой науки, область которой была бы разграничена с обла­стью других общественных наук. С точки же зрения этой науки про­изводительным может назваться только тот труд, который непосред­ственно направлен на производство материальных предметов потребле­ния. Судья, занимающийся охранением существующего в обществе пра­вового порядка, косвенным образом способствует, конечно, производству материальных продуктов. За эту деятельность он имеет, раз­умеется, полное право требовать известного вознаграждения. Но пред­метом непосредственных его занятий является право, а не фабричный или земледельческий труд. И если нельзя сказать, что рабочие прини­мают участие в деятельности судьи, обеспечивая ему материальные средства существования, то и, наоборот, нельзя утверждать, что судья участвует в производстве материальных предметов, занимаясь охра­нением правового порядка. «Необходимая взаимная связь различных общественных функций составляет, — говорит Родбертус, — гораздо бо­лее широкое понятие, чем понятие о разделении труда, направленного на добывание материальных предметов».

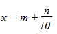
Но если все «хозяйственные блага» стоят труда, то под этим последним нужно понимать не только ту непосредственную работу, кото­рая делает материал годным для потребления. С теми орудиями труда, которыми снабдила его природа, то есть с органами своего тела, чело­век ушел бы очень недалеко, так как органы эти слишком слабы для успешной борьбы за существование. Поэтому с самых первых шагов своего культурного развития он вооружается искусственными орудиями, для приготовления которых он должен, разумеется, затратить извест­ное количество сил и времени: они также стоят ему труда. Каждый приготовленный не голыми руками продукт будет стоить, следовательно, вопервых, труда, с помощью которого орудия производства были упо­треблены в дело, а вовторых, — той работы или, вернее, известной части той работы, которая нужна была для выделки самих орудий производства. Если данное орудие могло служить для выделки одного только предмета, который мы назовем х, то стоимость его целиком перенесется на этот предмет. Если же с помощью нашего орудия можно произвести не один, а несколько, — например, хоть десять, — таких пред­метов, то на каждый из них в отдельности перенесется только одна десятая часть стоимости орудия. Таким образом стоимость каждого из них будет равняться, вопервых, десятой части стоимости орудия, к которой нужно прибавить, вовторых, труд, затраченный на приве­дение орудия в действие во время производства. Если мы этот труд обозначим через m, а труд, необходимый для приготовления орудия, через п, то у нас получится следующая формула стоимости нашего предмета:  

До сих пор мы предполагали, что имеем дело с человеком, веду­щим совершенно изолированное хозяйство. Для простоты примера было допущено, что трудящийся сам выделывает необходимые для него ору­дия и сам же подвергает существующий в природе материал всем после­довательным видам обработки. Но известно, что таких Робинзонов в действительности не существует. Уже на самых низших ступенях раз­вития человеческих обществ в их среде замечается известное разде­ление труда, делающее возможной кооперацию нескольких производи­телей. Затем появляется частная собственность, обнаруживаются иму­щественные неравенства, земля и орудия производства скопляются в руках высших сословий. Спрашивается, не вносит ли этот ход разви­тия человеческих обществ каких-либо ограничений в то положение, что «все продукты стоят труда и только труда»? Если это положение верно для человека, ведущего изолированное хозяйство, то не возни­кают ли, с течением времени, какие-нибудь другие элементы, которые рядом с трудом входили бы составною частью в стоимость продуктов? Известно, что этот вопрос был поводом ожесточенных споров между различными школами экономистов. Каждая из них отвечала на него посвоему и каждая утверждала, что она развивает лишь учение Адама Смита об этом предмете. И нужно сознаться, что Смит выра­жался по этому поводу так сбивчиво и неопределенно, что действи­тельно мог поддерживать своим авторитетом самые противоположные мнения.

По словам Родбертуса, вышеприведенная «истина не изменяется ни вследствие разделения труда, ни вследствие того, что людям удается, с течением времени, с меньшим количеством усилий производить боль­шее количество продуктов»[6].

Разделением труда обусловливается лишь то обстоятельство, что над производством каждого данного продукта трудится уже не одно, а несколько лиц. Продукт стоит, в таком случае, труда всех тех ра­бочих, через руки которых он проходил на различных стадиях его приготовления. Если к труду этих работников прибавить ту часть стоимости, которую утратили употреблявшиеся ими орудия, то мы по­лучим полную стоимость данного продукта. А так как орудия произ­водства, в свою очередь, «стоят труда и только труда», то мы должны признать, что теперь — как и в изолированном хозяйстве — в стоимость продуктов не входит никаких элементов, кроме человеческой работы.

Точно также не изменяется сущность дела и с возникновением частной собственности на землю и капиталы. Оно ведет лишь к тому, что производители не трудятся более для себя, но работают на земле­владельцев и капиталистов. Поэтому и продукт труда принадлежит уже этим последним, между тем как рабочие получают, если они поль­зуются личной свободой, известное вознаграждение в виде заработной платы. Но продукты не перестанут быть результатом их труда и только их труда. Конечно, землевладельцы и капиталисты могут и сами при­нимать участие в труде их работников, и тогда продукты будут ре­зультатом, между прочим, и их труда. Но они выступят, в таком слу­чае, уже в качестве работников, а не в качестве капиталистов и земле­владельцев. Продукты будут результатом «их труда, а не почвы их или капиталов»[7]. Словом, все, что составляет доход собственников, поземельная рента и прибыль на капитал, представляет собою такой же продукт труда, как и заработная плата.

«Все передовые экономисты согласны между собою в этом отноше­нии, — говорит Родбертус, — хотя они и держатся различных взглядов на правомерность существования ренты и прибыли». Даже Бастиа и Тьер признают, что рента и прибыль составляют продукт труда. Но, по мнению этих последних, каждый поземельный собственник пред­ставляет собою именно то лицо, — или наследника того лица, — которое впервые расчистило данный участок земли и сделало его годным для обработки. Точно также и в капиталистах видят они лиц, собствен­ным трудом приготовивших те средства производства, которые упо­требляются ныне в дело рабочими. В этом пункте, — равно как и в вопросе о том, не являются ли рента и прибыль несколько преувели­ченным вознаграждением за когдато сделанную работу, — и лежит, по мнению Родбертуса, начало всех споров и несогласий между «передо­выми экономистами».

Если разделение труда и переход его орудий и объектов в руки высших сословий не могли поколебать вышеприведенной «теоремы», то возрастание производительности труда еще менее способно принести с собою какие-нибудь новые элементы стоимости. Единственным резуль­татом увеличения плодородности почвы или прогресса промышленной техники может быть лишь уменьшение затраты труда, необходимого для производства земледельческих или фабричных продуктов.

«Но никогда, — говорит Родбертус, — хлеб, выросший на более плодородной почве, не будет продуктом чеголибо другого, кроме труда; никогда не может он быть назван — с экономической точки зрения — продуктом самой почвы или землевладельца, как такового». То же нужно помнить и относительно фабричных продуктов. С экономиче­ской точки зрения было бы невозможно сказать, что производимые ныне с меньшими, чем прежде, затратами труда фабрикаты являются отчасти продуктом действующей в машинах естественной силы или продуктом предпринимателя, как такового. И до и после введения ма­шин фабричные изделия являются продуктами труда: в первом случае большего, во втором — меньшего его количества.

Связанное с употреблением машин возрастание количества продук­тов, производимых работником в единицу времени, дает нам только понятие о роли и значении производительности труда в экономиче­ской истории общества, но ни на йоту не ограничивает правила, по которому «все предметы потребления стоят труда и только труда».

Если «в истории возникновения предметов потребления нет, кроме труда, других элементов, которые можно было бы рассматривать с точки зрения стоимости этих предметов», то мы имеем право предпо­ложить, что труд является единственной нормой, регулирующей обмен продуктов на рынке. Иначе сказать, мы имеем все основания согла­ситься с Рикардо, утверждавшим, что меновая стоимость предмета «или количество всякого другого предмета, на которое он обменивается, зависит от сравнительного количества труда, необходимого на его про­изводство»[8]. Правда, так называемая рыночная цена предметов по­стоянно колеблется под влиянием изменений в спросе и предложении, но она стремится, по крайней мере, совпасть с «естественной ценою» предметов, которая определяется количеством труда, необходимого на их производство. Совершенно в духе Рикардо, Родбертус замечает, что это тяготение рыночной цены обусловливается конкуренцией предпринимателей. В самом деле, если бы в какой-нибудь отрасли производ­ства предпринимателям удалось получить, в обмен за свои продукты, количество предметов, стоившее большего труда, чем стоили им соб­ственные изделия, то это было бы равносильно увеличению их прибыли. Каждый, располагающий свободным капиталом, поспешил бы употре­бить его в «дело» именно в этой, более выгодной отрасли производ­ства. Тогда предложение ее продуктов превысило бы спрос их на рынке; упала бы их рыночная цена, а вместе с нею и прибыль предпринимателей, и меновая стоимость предметов снова стала бы в зависи­мость единственно «от количества труда, необходимого на их произ­водство». В том случае, когда рыночная цена предметов упала бы слишком низко, то есть, если бы в обмен за них стали давать коли­чество других предметов, стоившее меньшего труда, чем стоили они сами, произошло бы явление обратное вышеописанному. Производство этих продуктов сделалось бы, сравнительно, невыгодным, предприниматели стали бы переводить свои капиталы в другие более прибыльные отрасли промышленности, и рыночная цена этих продуктов, вследствие уменьшения предложения, снова поднялась бы до надлежащего уровня. Так, подобно маятнику, вечно колеблется рыночная цена продуктов то в ту, то в другую сторону, никогда, быть может, не совпадая, но всегда стремясь совпасть с точкой покоя, т. е. с «естественной» их ценою. Таково общее правило. Но известно, что на всякое правило есть исключения. «В частностях, т. е. в каждом данном ремесле и на ка­ждой данной ступени разделения труда, продукты не всегда могут обме­ниваться, — говорит Родбертус, — на точном основании заключающегося в них количества труда»[9]. Эти отклонения от нормы вызываются, по его мнению, двумя причинами:

1) тем, что прибыль капиталистов «имеет, по крайней мере, тен­денцию сделаться равной во всех предприятиях»;
    2) тем, что меновая стоимость продуктов данного рода опреде­ляется количеством труда, необходимого на их производство в тех именно предприятиях, которые вынуждены работать при наименее бла­гоприятных условиях.

Остановимся сначала на первой из этих причин. Читателю извест­но, как определяется уровень прибыли промышленных предприятий: сумма так называемого чистого дохода делится на общую сумму предпринимательского фонда. Если фабрикант затратил на свое предпри­ятие 100.000 рублей и получил 20.000 руб. чистого дохода, то прибыль будет равняться пятой части его капитала, или, иначе сказать, он получит 20% прибыли на свой капитал. Предположим теперь, что два предпринимателя «работают» в двух различных отраслях промышлен­ности. Допустим также, что каждый из них «дает работу» одинако­вому числу «рук» и что «руки» эти затрачивают в течение рабочего дня одинаковое количество труда в каждой из этих отраслей промы­шленности. Тогда один из элементов общей  стоимости продуктов — труд непосредственно занятых в производстве работников — будет также одинаков в обоих предприятиях. Если мы предположим, кроме того, что каждый из наших предпринимателей употребляет машины одинаковой стоимости и одинаковой прочности, то в обоих предпри­ятиях на продукт перенесется одинаковая стоимость с орудий труда. Но в обществах, основанных на разделении труда, существует еще третий элемент меновой стоимости продуктов: стоимость материала, из которого они приготовляются. Мы говорили выше, что первоначаль­ный материал дается человеку самой природой и потому не может быть рассматриваем с точки зрения стоимости. Поэтому мы просим читателя обратить внимание на то, что теперь речь идет уже не о первоначаль­ном материале. Известно, что при разделении общественного труда один и тот же предмет является продуктом по отношению к одной отрасли производства и материалом по отношению к другой. Камен­ный уголь, например, может назваться продуктом труда рабочих, до­бывающих его в шахтах, и материалом — по отношению к рабочим газовых заводов; полотно есть продукт труда ткача, материал для труда швеи и т. д., и т. д. Мы знаем также, что при современных обществен­ных отношениях переход продуктов из одной отрасли производства в другую, т. е. с одной ступени обработки на другую, более высокую, «представляет собою длинную цепь передач и отчуждений собствен­ности, совершаемых при посредстве денег». Чем больше ступеней обра­ботки прошел известный продукт, тем он дороже, потому что тем большее количество труда он, по выражению Родбертуса, «в себе за­ключает». Если взятые нами для примера два предпринимателя нужда­ются в материале различной степени обработки, то и стоимость этого материала будет неодинакова: одному из них придется заплатить за него, положим, 50.000 руб., другому — 100.000 или более. Разумеется, стоимость материала перенесется на продукт и составит, рядом с двумя указанными выше, третий элемент его меновой стоимости. Благодаря неодинаковым затратам на материал, валовой доход наших предпри­нимателей будет, следовательно, неодинаков. Первый выручит меньшую, второй большую сумму за свой продукт. Что же касается чистого до­хода, то на него стоимость материала не может оказать влияния, если только продукты обмениваются сообразно «количествам труда, необ­ходимого на их производство». В самом деле, ни материал, ни орудия труда не создают новой стоимости. Ее создает только живой челове­ческий труд. Стало быть, секрета чистого дохода мы должны искать в труде занятых производством продуктов рабочих. И действительно, ларчик открывается именно с этой стороны. Чистый доход предприни­мателей обязан своим существованием единственно тому, что рабочие получают, в виде заработной платы, стоимость значительно меньшую, чем та, которую они создают своим трудом и прибавляют, таким обра­зом, к стоимости материала. Ниже мы еще вернемся к этому предмету, а теперь обратим внимание на «барыши» наших предпринимателей. Каждый из них «дает работу» одинаковому числу «рук». Каждый удер­живает, при равной продолжительности и интенсивности работы и рав­ной заработной плате в обоих предприятиях, одинаковую часть стои­мости произведенных этими «руками» продуктов. Чистый доход их будет, следовательно, одинаков. Но один из них должен был сделать бóльшие затраты на материал, чем другой. Поэтому равный в обоих предприятиях чистый доход не будет стоять в одинаковом отношении к общей сумме издержек каждого из наших предпринимателей. Он бу­дет составлять, положим, четвертую часть издержек одного и только пятую часть издержек другого предпринимателя, которому пришлось употреблять в дело более дорогой материал. Первый получил 25% прибыли на затраченный им капитал, между тем как второму удается «заработать» только 20%. Но какой же предприниматель согласится затрачивать свой капитал в менее выгодной отрасли промышленности? Разумеется, никакой, если только не существует законодательных по­становлений, стесняющих переход от одного занятия к другому. По­этому Родбертус и полагает, что меновая стоимость продуктов не всегда «зависит от сравнительного количества труда, необходимого на их производство». Продукты тех отраслей производства, которые обра­батывают более дорогой материал, всегда должны, по его мнению, про­даваться по цене, несколько превышающей эту норму. И это отклонение от общего правила должно быть достаточно для того, чтобы во всех отраслях промышленности отношение чистого дохода к общей сумме издержек предприятия было одинаково или, другими словами, чтобы уровень прибыли стоял на одной высоте.

Перейдем теперь ко второму из указанных Родбертусом ограни­чений общего закона меновой стоимости.

Увеличение спроса на продукты известного рода вынуждает, ко­нечно, к расширению производства этих продуктов. При этом может случиться, что добавочное их количество потребует большей затраты труда, чем нужно было прежде для производства равного ему количе­ства этих продуктов.

По мнению Родбертуса,   стоимость всех   находящихся на рынке продуктов этого рода должна возрасти пропорционально увеличению трудности производства добавочного их количества. Так, например, Рикардо утверждал, что с развитием общества производство земледель­ческих продуктов может расширяться только на счет худших участков земли. Если бы он был прав, то меновая стоимость хлеба постоянно возрастала бы, в зависимости от большей трудности производства его на менее плодородных участках. Вследствие этого, хлеб, снятый с луч­ших участков, приобрел бы стоимость, несколько превышающую ко­личество труда, затраченного на его производство. Другими словами, при обмене этого хлеба, например, на фабричные продукты, за него давали бы количество этих продуктов, стоившее большего труда, чем стоит он обладателю плодородного участка. Но если за продукт трех дней труда на лучшем участке дают продукт четырех дней фабричного труда, то один день фабричного труда создает стоимость, равную только трем четвертям дня работы на названном участке. Таким образом, «нарушение общего закона меновой стоимости но отношению к ка­кому-нибудь продукту оказывает обратное действие на стоимость тех продуктов, на которые этот продукт обменивается».

Но этим исключениям не нужно придавать преувеличенного зна­чения. «Они доказывают только, что общий закон меновой стоимости применим не во всех частных случаях, но не опровергают его верности в общем»[10].

Частные отступления уравновешивают друг друга, и меновая стои­мость предметов не перестает «зависеть от сравнительного количества труда, необходимого на их производство». Нельзя, например, утвер­ждать, — как это, не без задней мысли, делали некоторые экономи­сты, — что меновая стоимость всякого продукта несколько превышает количество затраченного на его производство труда. Такого рода пре­вышение возможно, по мнению Родбертуса, только в частных случаях. «Делаясь общим правилом, — говорит он, — оно тем самым потеряло бы всякое реальное значение». На кого падало бы это повышение меновой стоимости предметов? В обществе, основанном на разделении труда, потребители одних продуктов являются в то же время производителями других. В случае предположенного общего возвышения меновой стои­мости предметов производители продавали бы свои продукты по той же возвышенной цене, по какой покупали бы продукты всех других отра­слей производства. Положенное в один карман они вынимали бы из другого, и само собою разумеется, что такого рода упражнения так же не увеличили бы стоимости всех продуктов, как не увеличивает раз­ности прибавка одного и того же числа к уменьшаемому и вычи­таемому.

Но все это до такой степени просто и ясно, скажет читатель, что едва ли стоило останавливаться на этом; еще более странно считать такое простое и очевидное для всех положение краеугольным камнем какойто новой теории, которая должна будто бы исправить ошибки прежних экономистов. Все это, действительно, очень просто и очень ясно, ответим мы, с своей стороны. Но так уже исстари ведется, что все как нельзя более ясные научные истины подвергаются оспариванию, как только они становятся в противоречие с интересами сколько-нибудь влиятельных классов общества. Недаром же говорят, что математи­ческие аксиомы обязаны своею общепризнанностью единственно тому обстоятельству, что они не затрагивают ничьих интересов. А так как вопрос о меновой стоимости очень недвусмысленным образом касается интересов предпринимателей, то, разумеется, не могло быть недостатка в ученых, готовых оспаривать самые неоспоримые истины экономиче­ской науки. За примером, как говорится, ходить недалеко. Тот самый Германн, которого профессор Адольф Вагнер относит к числу самых выдающихся немецких экономистов[11], утверждал, что обыкновенно продукты обмениваются на продукты большего количества труда, чем то, которое нужно было на их производство» (!). И такие «теории» стоимости не только не вызывали гомерического хохота, но выдава­лись за последнее слою экономической науки, и авторы их до сих пор, как читатель видит на примере Германна, пользуются почетом со сто­роны «благодарного потомства». Родбертус взял на себя труд напомнить экономистам учение Рикардо о меновой стоимости. Он понял, что, пока этот вопрос не будет выяснен окончательно, невозможно будет сколько-нибудь научное обоснование учения о распределении. Поэтому он и направил свои усилия прежде всего на доказательство того положения, что «все предметы потребления стоят труда и только труда». Этою «теоремой» начинается первое, вышедшее еще в 1842 году, его сочине­ние — «Zur Erkenntnis unserer staatswirthschaftlichen Zustände». И эта «теорема» одна уже показывает в нем истинного ученика и последова­теля Смита и Рикардо.




__________________________________

Ïðèìå÷àíèÿ

1 В сборн. «За 20 лет» выпущен следующий абзац:

„И пока не вышло в свет обещанное Ад. Вагнером издание посмертных сочинений Родбертуса, нельзя даже приблизительно сказать, насколько под­винулось у него вперед обоснование одной из важнейших посылок его теории кризисов и пауперизма. Поэтому в нашем дальнейшем изложении нам при­дется иметь дело лишь с учением нашего автора о распределении и с дока­зательствами, приводимыми им в пользу того положения, что производитель­ность труда возросла и продолжает возрастать также и в земледелии”.

2 „Zeitschrift für die gesamte Staatswissensch.", S. 234.

3 „Zur Beleuchtung der socialen Frage", S. 70-71.

4 „Zur Erkenntnis unserer staatsw. Zustände",S. 5.

5 „Zur Beleuchtung der socialen Frage". S. 69.

6 „Zur Beleuchtung etc.", S. 71.

7 „Zur Beleuchtung", S. 71.

8 Сочинения Давида Рикардо, выпуск I, стр. 1.

9 „Zur Erkenntnis etc.”, S. 130.

10 „Zur Erkenntnis”. S. 132.

11 См. «Zeitschrift für die gesam. Staatswissensch.». S. 203.