V.I. Lenin

Over het zogenaamde vraagstuk van de markten


Geschreven: herfst 1893
Bron: Uitgeverij Progres, 1976
Vertaling: Uitgeverij Progres, gedaan aan de hand van het 1ste deel van de 5de uitgave van de Verzamelde Werken van V.I. Lenin, verzorgd door het Instituut voor het Marxisme-Leninisme bij het CC van de CPSU
Deze versie: spelling, voetnoten hernummerd
Transcriptie/HTML en contact: Adrien Verlee, voor het Marxists Internet Archive

Laatste bewerking: 11 februari 2010


I

Kan bij ons in Rusland het kapitalisme zich ontwikkelen en volledig ontplooien, terwijl de massa van het volk arm is en steeds armer wordt?[1] Voor de ontwikkeling van het kapitalisme is immers een uitgebreide binnenlandse markt nodig, terwijl de ruïnering van de boeren deze markt ondergraaft en het gevaar oproept deze geheel te zullen vernietigen en de instelling van een kapitalistische orde onmogelijk te maken. Men zegt weliswaar dat het kapitalisme zelf een eigen markt schept door de natuurlijke huishouding van onze directe producenten te veranderen in een warenhuishouding; maar is het voorstelbaar dat uit de jammerlijke overblijfselen van de natuurlijke huishouding van aan de bedelstaf gebrachte boeren zich een machtige kapitalistische productie zou kunnen ontwikkelen, zoals wij dat in het westen voor ons zien? Is het niet duidelijk dat ons kapitalisme alleen al door de verarming van de massa’s krachteloos en ongegrond is en dat het niet in staat is om zich meester te maken van de totale productie van het land en te worden tot de basis voor onze nationale economie?

Dat zijn de vragen die de Russische marxisten door onze literatuur bij iedere stap weer worden voorgehouden; de bewering dat er geen markt bestaat is één der voornaamste argumenten waarmee bewezen moet worden dat de theorie van Marx niet van toepassing is op Rusland. Ondermeer aan de weerlegging van dit argument is het referaat Het vraagstuk van de markten gewijd, een vraagstuk waarmee wij ons hier bezig zullen moeten houden.

II

Als fundamentele veronderstelling van de referent dient het aannemen van een ‘algemene en uitsluitende heerschappij van de kapitalistische productiewijze’. Uitgaande van deze veronderstelling geeft de referent een uiteenzetting over de inhoud van het 21ste hoofdstuk uit deel II van Het kapitaal (derde afdeling: ‘De reproductie en de circulatie van het totale maatschappelijke kapitaal’).

Marx stelt zich hier tot taak om te onderzoeken op welke wijze de maatschappelijke productie zowel het deel van het product dat dient tot bevrediging van de persoonlijke behoeften van de arbeiders en kapitalisten vervangt, als wel het deel dat dient tot vorming van de elementen van het productieve kapitaal. Wanneer het mogelijk is om zich in deel I, bij het onderzoeken van de productie en reproductie van het individuele kapitaal, te beperken tot een evaluerende analyse van de bestanddelen van het kapitaal en van het product – [de waarde van het product bestaat, zoals in deel I van Het kapitaal wordt aangetoond, uit c (constant kapitaal) + v (variabel kapitaal) + m (meerwaarde) – dan moet ook hier nu rekening worden gehouden met de deling van het product volgens zijn stoffelijke samenstelling, omdat het deel van het product dat uit elementen van het kapitaal bestaat niet kan dienen voor de individuele consumptie en omgekeerd. Daarom verdeelt Marx de totale maatschappelijke productie – en dientengevolge ook het totaal maatschappelijk product – in twee afdelingen: I. de productie van productiemiddelen, d.w.z. van de elementen van het productieve kapitaal, dus van waren, die slechts in de productieve consumptie kunnen opgaan; en II. de productie van consumptiemiddelen, d.w.z. van waren die opgaan in de individuele consumptie van de arbeidersklasse en de kapitalistenklasse.

Het volgende schema wordt ten grondslag gelegd aan het onderzoek [de Arabische cijfers betekenen waarde-eenheden – bijvoorbeeld miljoenen roebels – en de Romeinse cijfers de genoemde afdelingen van de maatschappelijke productie. De norm van de meerwaarde wordt op 100 % aangenomen]:

I4000 c + 1000 v + 1000 m = 6000}kapitaal = 7500
II2000 c + 500 v + 500 m = 3000product = 9000

Laat ons allereerst uitgaan van de eenvoudige reproductie, d.w.z. laat ons veronderstellen dat de productie niet wordt uitgebreid, maar voortdurend op een gelijkblijvend niveau wordt voortgezet; dan betekent dat, dat de totale meerwaarde door de kapitalist onproductief wordt geconsumeerd, voor zijn persoonlijke behoeften wordt gebruikt en niet wordt geaccumuleerd. Onder deze voorwaarde is het duidelijk dat ten eerste II 500 v en II 500 m door de kapitalisten en arbeiders van dezelfde afdeling II moeten worden geconsumeerd, want dit product bestaat in de vorm van consumptiemiddelen die bestemd zijn voor de bevrediging van persoonlijke behoeften. Verder moeten I 4000 c in hun natuurlijke vorm door de kapitalisten van juist afdeling I worden geconsumeerd, omdat het in overeenstemming met de voorwaarde van een productie op gelijkblijvend niveau vereist is dat het gelijke kapitaal voor de productie van productiemiddelen ook in het volgende jaar weer ter beschikking staat; en dus veroorzaakt de vervanging van dit deel van het kapitaal ook geen moeilijkheid: het overeenkomstige deel van het product, dat in de natuurlijke vorm van kolen, ijzer, machines, enz., bestaat, wordt onder de kapitalisten die productiemiddelen produceren geruild en dient hun net als vroeger tot constant kapitaal. Zodoende blijven I (v+m) en IIc over. I 1000 v+I 1000 m is een product dat in de vorm van productiemiddelen bestaat, daarentegen is II 2000 c een product dat existeert in de vorm van consumptiemiddelen. De arbeiders en de kapitalisten van afdeling I moeten (de eenvoudige reproductie, d.w.z. de consumptie van de gehele meerwaarde vooropgesteld) consumptiemiddelen ter waarde van 2000 (1000 (v) + 1000 (m)) verbruiken. De kapitalisten van afdeling II moeten om de productie op de vroegere schaal te kunnen voortzetten productiemiddelen ter waarde van 2000 verwerven om hun constante kapitaal (2000 II c) te vervangen. Daaruit blijkt duidelijk dat I v + I m tegen II c moeten worden omgeruild, omdat anders een productie in de tot nu toe bestaande omvang niet mogelijk is. Voorwaarde voor de eenvoudige reproductie is gelijkheid van de som van het variabele kapitaal en van de meerwaarde in afdeling I aan het constante kapitaal in afdeling II: I(v+m) = II c. Met andere woorden laat deze wet zich als volgt formuleren: de som van de totale in verloop van een jaar nieuw geschapen waarde (in beide afdelingen) moet gelijk zijn aan de totale waarde van het in de vorm van consumptiemiddelen bestaande product: I (v+m) + II (v+m) = II (c+v+m).

In werkelijkheid kan er natuurlijk geen eenvoudige reproductie bestaan: allereerst al niet omdat de productie van de totale maatschappij niet van jaar tot jaar op een gelijkblijvend peil kan worden voortgezet en in de tweede plaats niet omdat de accumulatie een wet van de kapitalistische orde is. Laat ons daarom eens onderzoeken hoe de maatschappelijke productie op uitgebreidere schaal, ofwel de accumulatie, zich voltrekt. Bij de accumulatie wordt slechts een deel van de meerwaarde door de kapitalisten geconsumeerd voor persoonlijke behoeften; het andere deel wordt productief geconsumeerd, d.w.z. omgezet in elementen van het productieve kapitaal met het doel de productie uit te breiden. Daardoor is dus gelijkheid tussen I (v+m) en II c onmogelijk: I (v+m) moet groter zijn dan II c, om een deel van de meerwaarde in afdeling I (I m) niet tegen consumptiemiddelen te laten ruilen, maar te laten dienen tot uitbreiding van de productie. Zodoende krijgen we:

A. Schema van de eenvoudige reproductie

I 4000 c + 1000 v + 1000 m = 6000

II 2000 c + 500 v + 500 m = 3000

I (v+m) = II c

B. Uitgangsschema voor de accumulatie

I 4000 c + 1000 v + 1000 m = 6000

II 1500 c + 750 v + 750 m = 3000

I (v+m) > II c.

Laten we nu eens onderzoeken hoe de maatschappelijke productie zich bij de accumulatie voltrekt.

Eerste jaar.

I 4000 c + 1000 v + 1000 m = 6000 kapitaal= 7250

II 1500 c + 750 v + 750 m = 3000 product = 9000}

I (1000 v + 500 m) worden tegen II 1500 c (net als bij de eenvoudige reproductie) omgeruild.

I 500 m worden geaccumuleerd, d.w.z. zij dienen ter uitbreiding van de productie en veranderen in kapitaal. Veronderstellen wij voor de verdeling in constant en variabel kapitaal de oude verhouding, dan krijgen wij:

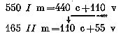
I 500 m = 400 c + 100 v.

Het extra constante kapitaal (400 c) zit al in het product van I (in de natuurlijke vorm van productiemiddelen); het extra variabele kapitaal (100 v) moet echter worden geleverd door de kapitalisten van afdeling II, die dientengevolge ook moeten accumuleren: zij zullen een deel van hun meerwaarde (II 100 m) ruilen tegen productiemiddelen (I 100 v) en deze productiemiddelen veranderen in aanvullend constant kapitaal. Dientengevolge zal hun constante kapitaal worden verhoogd van 1500 c naar 1600 c; voor het gebruik daarvan is extra arbeidskracht nodig – 50 v – hetgeen wederom wordt ontnomen aan de meerwaarde van de kapitalisten in afdeling II.

Voegen wij het aanvullende kapitaal in afdeling I en II bij het oorspronkelijke kapitaal, dan verkrijgen wij de volgende verdeling van het product:

I 4400 c + 1100 v + (500 m) = 6000

II 1600 c + 800 v + (600 m) = 3000

De tussen haakjes gezette meerwaarde stelt het consumptiefonds van de kapitalisten voor, d.w.z. het deel van de meerwaarde dat niet gebruikt wordt voor de accumulatie, maar voor de persoonlijke behoeften van de kapitalisten.

Wanneer de productie op de oude voet doorgaat verkrijgen wij aan het einde van het jaar:

I 4400 c + 1100 v + 1100 m = 6600 kapitaal = 7900

II 1600 c + 800 v + 800 m = 3200 { product = 9800 }

I (1100 v + 550 m) worden ingeruild tegen II 1650 c, waarbij de extra 50 c worden onttrokken aan de 800 II m (daarbij roept de verhoging van c met 50 een verhoging van v met 25 op).

Verder worden 550 I m net zo geaccumuleerd als tevoren:

een formule met pijl

Wanneer wij nu bij het oorspronkelijke kapitaal het aanvullende kapitaal voegen (440 c bij I 4400 c; 110 v bij I 1100 v. 50 c en 110 c bij II 1600 c, evenals 25 v en 55 v bij II 800 v), dan krijgen wij:

I 4840 c + 1210 v + (550 m) = 6600

II 1760 c + 880 v + (560 m) = 3200

Bij een verdere voortgang van de productie krijgen we:

I 4840 c + 1210 v + 1210 m = 7260{kapitaal = 8690}
II 1760 c + 880 v + 880 m = 3520product=10780

enzovoort.

Dat zijn – in hun wezenlijke kenmerken – de resultaten van Marx’ onderzoekingen naar het vraagstuk van de reproductie van het totale maatschappelijke kapitaal. Deze onderzoekingen zijn hier (met enig voorbehoud) in een uiterst beknopte vorm weergegeven; zeer veel van hetgeen Marx diepgaand heeft geanalyseerd is weggelaten – bijvoorbeeld de circulatie van het geld, de vervanging van het constante kapitaal, dat langzamerhand wegslijt, enz. – omdat dit alles niet in een direct verband stond met het hier behandelde vraagstuk.

III

Welke conclusies trekt de referent nu uit deze onderzoekingen van Marx? Helaas formuleert hij deze niet nauwkeurig en vastomlijnd genoeg, zodat wij uit losse opmerkingen, die niet geheel in harmonie met elkaar zijn, zelf moeten concluderen welke gevolgtrekkingen dit zijn. Zo lezen we bijvoorbeeld:

‘Wij hebben hier gezien’, zegt de referent, ‘op welke wijze de accumulatie zich in afdeling I voltrekt, in de productie van productiemiddelen voor productiemiddelen: ... deze accumulatie voltrekt zich onafhankelijk van zowel de beweging van de productie van consumptiemiddelen alsook van de individuele consumptie zelf, onverschillig van welke aard deze is.’ (Vel 15/3.)

Natuurlijk kan men alleen al niet zeggen dat de accumulatie ‘onafhankelijk’ is van de productie van consumptiemiddelen, omdat voor de uitbreiding van de productie nieuw variabel kapitaal en dientengevolge ook consumptiemiddelen vereist zijn; de auteur wilde met deze uitdrukking waarschijnlijk alleen maar de nadruk leggen op de bijzonderheid van het schema dat de reproductie van I c – van het constante kapitaal in afdeling I – plaatsvindt zonder ruil met afdeling II, d.w.z. dat er in de samenleving jaar na jaar een bepaald deel – laat ons zeggen – steenkool wordt geproduceerd om op zijn beurt weer steenkool te produceren. Het spreekt vanzelf dat deze productie (van steenkool voor de winning van steenkool) door een reeks van op elkaar volgende ruilhandelingen verbonden moet zijn met de productie van consumptiemiddelen: anders zouden noch de steenkoolmagnaten, noch hun arbeiders kunnen bestaan.

Op een andere plaats drukt de referent zich al aanzienlijk minder zelfverzekerd uit: ‘De belangrijkste beweging van de kapitalistische accumulatie’, zegt hij, ‘voltrekt en voltrok zich (met uitzondering van zeer vroege perioden) onafhankelijk van welke directe producent dan ook en onafhankelijk van de individuele consumptie van welke laag der bevolking ook’. (Vel 8.) Hier wordt alleen nog maar gewezen op het feit dat in de historische ontwikkeling van het kapitalisme de productie van productiemiddelen tegenover de productie van consumptiemiddelen een geprivilegieerde positie inneemt. Deze conclusie wordt nog eens herhaald: ‘Wanneer voor de kapitalistische samenleving aan de ene kant accumulatie voor de accumulatie, productieve en niet individuele consumptie typerend is, dan is voor haar aan de andere kant juist de productie van productiemiddelen voor productiemiddelen typerend.’ (Vel 21/2.)

Als de schrijver daarmee wilde zeggen dat de kapitalistische samenleving zich van de andere, aan haar voorafgaande productiewijzen juist onderscheidt door de ontwikkeling van de machinerieën en van de daarvoor noodzakelijke materialen (steenkool, ijzer e.d.), dan is dat volkomen juist. Wat de stand van de techniek betreft overtreft de kapitalistische maatschappij alle andere, maar de technische vooruitgang komt juist tot uitdrukking in het feit dat de arbeid van de mens in toenemende mate terugwijkt voor de arbeid van de machines.

In plaats van ons bezig te houden met een kritiek op de onvoldoende heldere formuleringen van de referent is het daarom beter ons direct tot Marx te wenden en om na te gaan of uit zijn theorie de conclusie kan worden getrokken dat afdeling I ‘geprivilegieerd’ is boven afdeling II en in welke zin dit privilege dient te worden opgevat.

Uit het hierboven weergegeven schema van Marx kan op geen enkele manier de conclusie worden getrokken dat afdeling I voorrang heeft boven afdeling II; beide ontwikkelen zich daar parallel. Maar dit schema houdt nu juist geen rekening met de technische vooruitgang. Zoals door Marx in deel I van Het kapitaal werd aangetoond komt de technische vooruitgang hierin tot uitdrukking dat de verhouding van het variabele kapitaal tot het constante (v/c) langzamerhand afneemt, terwijl als basis voor het schema werd aangenomen dat deze verhouding gelijk blijft.

Wanneer men het schema in overeenstemming hiermee corrigeert, dan, ontstaat vanzelfsprekend een snellere groei van de productiemiddelen in vergelijking met die van de consumptiemiddelen. Niettemin zou het naar mij toeschijnt niet overbodig zijn om deze berekening op te voeren; in de eerste plaats als aanschouwelijk voorbeeld en in de tweede plaats om te voorkomen dat er mogelijk foutieve conclusies worden getrokken uit deze vooronderstelling.

[In de volgende tabel wordt een gelijkblijvende accumulatienorm verondersteld: de ene helft van de meerwaarde wordt geaccumuleerd, de andere wordt individueel geconsumeerd.]

[Men kan het onderstaande schema weglaten en direct overgaan tot de daaruit voortvloeiende conclusies, die op de bladzijde erna worden gegeven. De letter a.x. betekent aanvullend kapitaal, dat wordt gebruikt voor de uitbreiding van de productie, d.w.z. het te accumuleren deel van de meerwaarde.]

Tabel van Lenin met pijl en bepaalde tekens idem als hiervoor

Enzovoort [2]

Laten we nu de conclusies uit dit schema vergelijken met betrekking tot de groei van de verschillende delen van het maatschappelijke product:[3]

productie en consumptie tabel in 4 jaren

Op deze wijze krijgen we te zien: het snelst groeit de productie van productiemiddelen voor productiemiddelen, dan de productie van productiemiddelen voor consumptiemiddelen en dan – het langzaamst – de productie van consumptiemiddelen. Tot deze conclusie zou men ook kunnen komen zonder de onderzoekingen van Marx in deel II van Het kapitaal, op grond van de wet dat het constante kapitaal de tendentie heeft om sneller te groeien dan het variabele: de stelling van de snellere groei van de productiemiddelen is slechts een andere formulering van deze wet, die betrekking heeft op de hele maatschappelijke productie.

Maar wellicht zou men nog een stap verder moeten gaan? Wanneer wij al hebben aangenomen dat de verhouding van v tot c+v voortdurend afneemt, waarom zouden we dan ook niet aannemen dat v gelijk wordt aan nul en dat dan hetzelfde aantal arbeiders ook voldoende is voor een grotere hoeveelheid productiemiddelen?

Dan wordt het te accumuleren deel van de meerwaarde zonder meer gevoegd bij het constante kapitaal van afdeling I en dan zal de groei van de maatschappelijke productie zich uitsluitend voltrekken langs de lijn van de productiemiddelen voor productiemiddelen, waarbij een volledige stagnatie optreedt bij de tweede afdeling.[12] Natuurlijk zou dat al misbruik betekenen van schema’s, want een dergelijke conclusie is gebaseerd op onwaarschijnlijke veronderstellingen en daarom al fout. Is de veronderstelling toelaatbaar dat de technische vooruitgang die de verhouding van v ten opzichte van c vermindert alleen werkzaam is in afdeling I, terwijl afdeling II blijft steken in een toestand van volledige stagnatie? Is het in overeenstemming te brengen met de wetten van de kapitalistische samenleving, die van iedere kapitalist uitbreiding van zijn bedrijf eist op straffe van ondergang, dat in afdeling II helemaal geen accumulatie plaatsvindt?

Aldus is de enig juiste conclusie uit de hierboven uiteengezette onderzoekingen van Marx dat in de kapitalistische samenleving de productie van productiemiddelen sneller groeit dan de productie van consumptiemiddelen. Zoals reeds gezegd, is deze conclusie het directe gevolg van de algemeen bekende stelling dat de kapitalistische productie in vergelijking met vroegere tijden een onmetelijk veel hoger ontwikkelde techniek schept.[13] Marx uit zich – in het bijzonder met betrekking tot dit vraagstuk – slechts op één plaats met volstrekte zekerheid en deze plaats bevestigt de juistheid van onze formulering volledig:

‘Wat hier de kapitalistische samenleving onderscheidt van de primitieve is niet, zoals Senior meent, dat het het voorrecht en de eigenaardigheid van de wilde is dat hij zijn arbeid besteedt in een zekere tijd, die hem geen revenuen, d.w.z. in consumptiemiddelen opgaande (omzetbare) vruchten, verschaft, maar het verschil bestaat hierin:

a) De kapitalistische samenleving gebruikt meer (notabene) van haar ter beschikking staande jaarlijkse arbeid aan de productie van productiemiddelen (ergo: van constant kapitaal), die noch in de vorm van arbeidsloon, noch in de vorm van meerwaarde op kunnen gaan in revenuen, maar slechts als kapitaal kunnen fungeren.’ (‘Het Kapitaal’, deel II)[4].

IV

Nu komt de vraag op in welke verhouding de uiteengezette theorie staat tot het beruchte ‘vraagstuk van de markten’, omdat deze theorie immers de ‘algemene en uitsluitende heerschappij van de kapitalistische productiewijze’ als voorwaarde stelt, terwijl ‘de vraag’ nu juist hierin bestaat of in Rusland een volledige ontplooiing van het kapitalisme wel ‘mogelijk’ is. Weliswaar geeft deze theorie een correctie op de gebruikelijke voorstelling over de ontwikkeling van het kapitalisme, maar het is wel duidelijk dat een verklaring van hoe het kapitalisme zich in het algemeen ontwikkelt nog op geen enkele manier het vraagstuk of de ontwikkeling van het kapitalisme in Rusland ‘mogelijk’ (en noodzakelijk) is dichter bij een oplossing brengt.

De referent beperkt zich echter niet tot een uiteenzetting van de theorie van Marx over het proces van de kapitalistisch georganiseerde totale maatschappelijke productie. Hij wijst ook op de noodzaak om ‘bij de accumulatie van het kapitaal twee wezenlijk verschillende momenten te onderscheiden: 1. de ontwikkeling van de kapitalistische productie in de breedte, wanneer zij bij de verdringing van de natuurlijke huishouding reeds kant-en-klare arbeidssferen overneemt en zich uitbreidt op kosten van de natuurlijke huishouding; en 2. de ontwikkeling van de kapitalistische productie in de diepte, als men dat tenminste zo mag uitdrukken, wanneer de uitbreiding zich onafhankelijk van de natuurlijke huishouding voltrekt, d.w.z. bij een algemene en uitsluitende heerschappij van de kapitalistische productiewijze.’

Zonder ons voorlopig bezig te houden met een kritiek op deze indeling richten wij ons rechtstreeks tot een onderzoek van hetgeen de schrijver verstaat onder de ontwikkeling van het kapitalisme in de breedte: de verheldering van dit proces, dat bestaat in de aflossing van de natuurlijke huishouding door de kapitalistische huishouding, moet ons aantonen op welke wijze het Russische kapitalisme ‘zich meester zal maken van het hele land.’

De referent verduidelijkt de ontwikkeling van het kapitalisme in de breedte met het volgende schema:

Getekend schema van Lenin
A – kapitalisten; W – directe producenten;
a, a1, a11 – kapitalistische bedrijven;
De pijlen geven de beweging van de te ruilen waren aan; c, v, m – de bestanddelen van de waarde der waren;
I, II – natuurlijke vorm van de waren: I – productiemiddelen; II – consumptiemiddelen.

‘Het wezenlijke verschil tussen positie A en positie W’, zegt de referent, ‘bestaat hierin, dat in A de producenten kapitalisten zijn, die hun meerwaarde productief consumeren, terwijl het in W directe producenten zijn, die hun meerwaarde (hieronder versta ik in dit geval het overschot van de productwaarde boven de waarde der productiemiddelen en van de noodzakelijke levensmiddelen) onproductief consumeren.

Als we de pijlen van het schema volgen, dan zien we al heel gauw dat de kapitalistische productie zich in A ontwikkelt op kosten van de consumptie in W en zich daar langzaam maar zeker meester van maakt.’ Het product van het kapitalistische bedrijf a gaat in de vorm van consumptiemiddelen naar de ‘directe producent.’ In ruil leveren de ‘directe producenten’ constant kapitaal (c) in de vorm van productiemiddelen en variabel kapitaal (v) in de vorm van consumptiemiddelen, maar de meerwaarde (m) in de vorm van elementen van aanvullend productief kapitaal: c1+v1. Dit kapitaal dient ter oprichting van een nieuw kapitalistisch bedrijf a1, dat op precies dezelfde wijze zijn product in de vorm van consumptiemiddelen aan de ‘directe producent’ levert, enzovoorts. ‘Uit het gegeven schema over de ontwikkeling van het kapitalisme in de breedte volgt dat de totale productie in de hoge mate afhankelijk is van de consumptie op de ‘externe’ markten, van de consumptie van de massa (waarbij het vanuit een algemeen standpunt bezien volkomen onverschillig is waar die massa’s zich bevinden – in de directe nabijheid van de kapitalisten of ergens aan de overkant van de oceaan). Het is duidelijk dat de uitbreiding van de productie in A, d.w.z. de ontwikkeling van het kapitalisme in deze richting, tot een einde zal komen zodra alle directe producenten in W warenproducenten zijn geworden, want ieder nieuw bedrijf (of iedere uitbreiding van een oud bedrijf) is, zoals wij hierboven al hebben gezien, berekend op een nieuwe kring van consumenten W. De gebruikelijke voorstelling van de kapitalistische accumulatie, d.w.z. de kapitalistische reproductie op grotere schaal,’ zegt de referent ter afsluiting, ‘beperkt zich slechts tot zo’n kijk op de zaken, zonder ook maar enig vermoeden te hebben van een kapitalistische ontwikkeling in de diepte, onafhankelijk van welke landen met directe producenten dan ook, d.w.z. onafhankelijk van de zogenaamde externe markten.’

Van alles wat hier is uiteengezet kan men het alleen maar eens zijn met de bewering dat deze voorstelling over de ontwikkeling van het kapitalisme in de breedte en ook het schema dat tot verduidelijking hiervan dient in volledige overeenstemming verkeren met de gebruikelijke ideeën van de narodniki over dit onderwerp.

De hele ongerijmdheid en het gebrek aan inhoud van die gebruikelijke voorstellingen kan inderdaad nauwelijks plastischer en aanschouwelijker worden voorgesteld dan in het hier aangehaalde schema gebeurd is.

De ‘gebruikelijke voorstelling’ heeft ons kapitalisme altijd beschouwd als iets dat los stond van de ‘volksorde’, als iets dat daar ver vanaf stond, precies zoals dat in het schema gebeurd is: daaruit is namelijk helemaal niet te zien waarin de samenhang tussen de beide ‘posities’ tussen de positie van de kapitalisten en die van het volk, bestaat. Waarom vinden de waren die vanuit A worden geleverd hun afzet in W? Waardoor wordt in W de overgang van natuurlijke huishouding naar warenhuishouding opgeroepen? De gebruikelijke opvatting heeft nog nooit een antwoord op deze vragen gegeven, omdat zij de ruil beschouwt als een soort toeval en niet als een bepaald systeem van huishouding.

Verder heeft de gebruikelijke voorstelling nog nooit een verklaring gegeven voor het probleem waar ons kapitalisme vandaan is gekomen en op welke manier het is ontstaan, evenzeer als het schema ook daar geen verklaring voor geeft: de zaak wordt zo voorgesteld, alsof de kapitalisten ergens van buitenaf zouden zijn gekomen en niet uit het milieu van juist die ‘directe producenten’. Het blijft een onbegrijpelijke zaak waar de kapitalisten de ‘vrije arbeiders’ vandaan halen die voor de bedrijven a, a1, enz. gebruikt worden. Iedereen weet dat deze arbeiders in werkelijkheid juist uit de massa van de ‘directe producenten’ worden gehaald, maar uit het schema wordt helemaal niet duidelijk dat de warenproductie, door zich meester te maken van ‘positie’ W, daar een contingent vrije arbeiders schept.

Om kort te gaan: dit schema verklaart – net als de gebruikelijke voorstellingen – ook niet het geringste van de verschijnselen in onze kapitalistische orde en is daarom geen cent waard. Het doel waarvoor het werd opgesteld – namelijk om uit te leggen hoe het kapitalisme zich ontwikkelt ten koste van de natuurlijke huishouding en zich daarbij meester maakt van het hele land – wordt door dit schema helemaal niet eens bereikt; want – zoals ook de referent zelf wel inziet – ‘wanneer men zich consequent houdt aan de hier geanalyseerde opvatting, dan komt men noodzakelijkerwijs tot de conclusie dat het nooit zal kunnen komen tot een algemene ontwikkeling van de kapitalistische productiewijze.’

Na dit alles kan men alleen nog maar uitdrukking geven aan zijn verwondering over het feit dat de schrijver het zelf, zij het dan ook maar ten dele, eens is met deze opvatting wanneer hij zegt dat ‘het kapitalisme zich inderdaad (?) in zijn vroege perioden op deze meest gemakkelijke (sic!?) manier (meest gemakkelijke, omdat het zich hier meester maakt van kant-en-klare arbeidssferen) heeft ontwikkeld en zich ten dele ook nu nog (??) in deze richting ontwikkelt, omdat er op de aarde nog resten van de natuurlijke huishouding over zijn en omdat de bevolking toeneemt.’

In werkelijkheid is dit niet de ‘meest gemakkelijke’ manier voor de kapitalistische ontwikkeling, maar de meest gemakkelijke manier van begrijpen’ van dit proces, en wel in zo’n hoge mate ‘de gemakkelijkste’ dat het juister zou zijn om het af te doen als een totaal onbegrip. De Russische narodniki van alle schakeringen stellen zichzelf tot op de dag van vandaag tevreden met deze ‘meest gemakkelijke’ methoden; het is nooit bij hen opgekomen om te verklaren hoe ons kapitalisme ontstaan is en hoe het functioneert; zij zijn al tevreden als zij de ‘zieke kant’ van onze verhoudingen, namelijk het kapitalisme, tegenover de ‘gezonde’, namelijk de directe producent, het ‘volk’, stellen; het ene zetten zij aan de linkerkant, het andere aan de rechter en die hele diepzinnigheid wordt afgemaakt met sentimentele frasen over wat voor de ‘menselijke gemeenschap’ ‘schadelijk’ en wat ‘nuttig’ is.

V

Om het hierboven aangehaalde schema te kunnen corrigeren moet men eerst een verduidelijking geven van de begrippen waarvan sprake is. Onder warenproductie moet een organisatie van de maatschappelijke productie worden verstaan waarbij de producten door individuele, geïsoleerde producenten worden geschapen, waarbij iedereen zich specialiseert in de fabricage van een of ander product, zodat voor de bevrediging van de maatschappelijke behoeften koop en verkoop van de producten (die daardoor tot waren worden) op de markt noodzakelijk zijn. Onder kapitalisme moet het ontwikkelingsstadium in de warenproductie worden verstaan waarin reeds niet alleen de producten van menselijke arbeid tot waar worden, maar ook de arbeidskracht van de mens zelf. Zo zijn er in de historische ontwikkeling van het kapitalisme twee momenten van belang: 1. de transformatie van de natuurlijke huishouding van de directe producenten in de warenhuishouding en 2. de transformatie van de warenhuishouding in de kapitalistische huishouding. De eerste verandering voltrekt zich als gevolg van de maatschappelijke arbeidsverdeling, van de specialisatie van geïsoleerde [NB: dit is een onontkoombare voorwaarde voor de warenhuishouding], individuele producenten in slechts één tak van handenarbeid. De tweede verandering vindt plaats doordat de individuele producenten, die elk afzonderlijk hun waren voor de markt scheppen, onderlinge concurrentie aangaan: iedereen wil zo duur mogelijk verkopen en zo goedkoop mogelijk inkopen, en dat heeft als onvermijdelijk gevolg dat de sterke nog sterker en de zwakke nog zwakker wordt, dat een minderheid zich verrijkt en de massa wordt geruïneerd, hetgeen leidt tot de transformatie van de zelfstandige producenten tot loonarbeiders en van de vele kleine bedrijven tot een klein aantal grote. Aldus moet het schema dusdanig worden opgesteld dat het deze beide momenten in de ontwikkeling van het kapitalisme, evenals de door deze ontwikkeling veroorzaakte veranderingen in de grootte van de markt, d.w.z. van de hoeveelheid producten die tot waren worden, aantoont.

Het volgende schema is dan ook volgens dit plan opgesteld: van alle bijkomstige omstandigheden werd geabstraheerd, d.w.z. zij werden beschouwd als zijnde onveranderlijk (bijvoorbeeld de grootte van de bevolking, de arbeidsproductiviteit e.a.), om op die manier uitsluitend de invloed van de genoemde ontwikkelingsmomenten van het kapitalisme op de markt te analyseren.

Laten we nu overgaan tot een onderzoek van dit schema, dat de opeenvolgende veranderingen in het systeem van huishouding van een uit zes producenten bestaande gemeenschap weergeeft. Het schema is verdeeld in zes perioden, die de stadia van verandering van de natuurlijke huishouding in een kapitalistische huishouding voorstellen.

1ste periode. Wij hebben 6 producenten, waarvan elk zijn arbeid besteedt in alle 3 takken van industrie (in a, in b en in c). Het product dat zij bereiken (9 bij iedere producent: a + b + c = 9) verbruikt ieder van hen voor zichzelf in zijn eigen bedrijf. Dus hebben we hier een zuivere vorm van natuurlijke huishouding; de producten komen helemaal niet op de markt.

2de periode. Producent I verandert de productiviteit van zijn arbeid: hij geeft industrie b op en besteedt de tijd die hij vroeger aan deze tak van industrie besteedde nu aan industrie c. Als gevolg van de specialisatie van deze ene producent beperken de anderen de productie van c, omdat er door producent I een overschot boven zijn eigen verbruik geschapen is, en zij verhogen de productie van b om een product voor producent I te scheppen. De zo ontstane arbeidsverdeling leidt onvermijdelijk tot warenproductie: producent I verkoopt 1 c en koopt 1 b, de overige producenten verkopen 1 b (elk van de vijf 1/5 b) en kopen 1 c (elk 1/5 c); op de markt komt een hoeveelheid producten ter waarde van 6. De omvang van de markt is precies in overeenstemming met de graad van specialisering van de maatschappelijke arbeid: gespecialiseerd werd de productie van een c (1 c = 3) en van een b (1 b = 3), d.w.z. een negende deel van de totale maatschappelijke productie [18 c (= a = b)] en 1/9 van het totale maatschappelijke product zijn op de markt beland.

3de periode. De arbeidsdeling schrijdt verder en omvat de industrietakken b en c nu geheel en al: drie producenten zijn er nu nog in industrie b en nog slechts drie in industrietak c werkzaam. Elk verkoopt 1 c (of 1 b), d.w.z. drie waarde-eenheden, en koopt eveneens 3 waarde-eenheden, namelijk 1 b (of 1 c). Deze versterkte arbeidsverdeling leidt tot uitbreiding van de markt, waarop nu reeds 18 waarde-eenheden terechtkomen. Opnieuw is de omvang van de markt nauwkeurig in overeenstemming met de graad van specialisatie (= verdeling) van de maatschappelijke arbeid: gespecialiseerd is nu de productie van 3 b en 3 c, d.w.z. een derde van de maatschappelijke productie; en een derde van het maatschappelijke product belandt op de markt.

De 4de periode stelt reeds de kapitalistische productie voor: het proces van de transformatie van warenproductie in kapitalistische productie is in het schema niet weergegeven en moet apart worden beschreven.

speciale tabel - productie en markt


Verklaring van het schema:
I – II ... – VI: producenten
a, b, c: takken van industrie (bv. landbouw, extractieve en verwerkende industrie).
a = b = c = 3. De waarde van de producten a = b = c is gelijk aan 3 (drie waarde-eenheden), waarvan 1 wegvalt op de meerwaarde [Dat deel van de waarde dat het constante kapitaal vervangt is aangenomen als gelijkblijvend en werd daarom weggelaten.]
Onder de rubriek ‘markt’ wordt de waarde van de producten aangegeven die verkocht (en gekocht) worden; tussen haakjes staat de waarde van arbeidskracht (ak) die verkocht (en gekocht) wordt.
De pijlen, die van de ene producent naar de andere wijzen, betekenen dat de eerste loonarbeider bij de laatste is.
Verondersteld wordt de eenvoudige reproductie: de totale meerwaarde wordt door de kapitalist improductief geconsumeerd.

In de voorafgaande periode was iedere producent al warenproducent (in de industrietakken b en c, waarover alleen wordt gesproken): elk heeft geïsoleerd, afzonderlijk en onafhankelijk van de anderen geproduceerd, hij heeft voor een markt geproduceerd waarvan de omvang natuurlijk aan geen der producenten bekend was. Deze verhouding tussen geïsoleerde producenten die voor een gemeenschappelijke markt werken wordt concurrentie genoemd. Het spreekt vanzelf dat het evenwicht tussen productie en consumptie (aanbod en vraag) onder deze omstandigheden slechts wordt bereikt via een reeks van schommelingen. De handiger en ruimer van handelsgeest voorziene sterke producent wordt als gevolg van deze schommelingen nog sterker, de zwakke en onhandige wordt door hem verdrongen. Verrijking van een gering aantal personen en verpaupering van de massa’s – dat zijn de onvermijdelijke gevolgen van de wetten der concurrentie. Het eindigt ermee dat de geruïneerde producenten hun economische zelfstandigheid verliezen en als loonarbeiders in dienst treden bij het uitgebreide bedrijf van hun succesvolle concurrent. En deze situatie wordt nu juist in het schema weergegeven. De industrietakken b en c, die vroeger verdeeld waren onder alle 6 producenten, zijn nu in handen van 2 producenten (nr. I en IV) geconcentreerd. De overige producenten werken bij hen tegen een loon, waarbij zij niet langer het totale product van hun arbeid krijgen, maar verminderd met de meerwaarde, die de ondernemer zich toe-eigent [ik wil eraan herinneren dat de meerwaarde volgens onze vooronderstelling 1/3 van het product uitmaakt, zodat de producent van 2 b (= 6) van de ondernemer 2/3, d.w.z. 4 ontvangt]. Het gevolg is een versterkte arbeidsverdeling – en uitbreiding van de markt, waarop nu reeds 22 waarde-eenheden terechtkomen, hoewel de ‘massa’ ‘armer geworden is’: de producenten, die (gedeeltelijk) tot loonarbeiders zijn geworden, ontvangen van het totale product niet meer elk 9, maar slechts 7; 3 verkrijgt de producent uit zijn zelfstandige bedrijf (landbouwbedrijf – industrie a) en 4 uit de loonarbeid (van de productie 2 b of 2 c). Deze producenten, die al meer loonarbeiders zijn dan zelfstandige ondernemers, zijn beroofd van de mogelijkheid om welk product van hun arbeid dan ook op de markt te brengen, omdat zij door hun ondergang de voor het scheppen van het product noodzakelijke productiemiddelen verloren hebben. Zij moesten hun toevlucht nemen tot een ‘bijverdienste’, d.w.z. zij moesten hun arbeidskracht op de markt brengen en voor het uit de verkoop van deze nieuwe waar verkregen geld het voor hen noodzakelijke product kopen.

Uit het schema wordt zichtbaar dat elk van de producenten II en III, V en VI voor 4 waarde-eenheden arbeidskracht verkoopt en voor diezelfde som aan consumptiemiddelen koopt. Wat de tot kapitalisten geworden producenten I en IV betreft; elk van hen schept een product van 21; daarvan gebruikt hij zelf 10[3 (= a) + + 3 (= c of b) + 4 (meerwaarde van 2 c of 2 b)] en verkoopt 11; daarentegen koopt hij waren voor 3 (c of b) + 8 (arbeidskracht).

Naar moet worden opgemerkt bestaat er in dit geval geen absolute overeenstemming tussen de graad van specialisatie van de maatschappelijke arbeid (gespecialiseerd werd de productie van 5 b en 5 c, d.w.z. een som van 30) en de omvang van de markt (22) – maar dit gebrek in het schema is ontstaan omdat er werd uitgegaan van de eenvoudige reproductie,[14] d.w.z. productie zonder accumulatie; daardoor kwam het dat de meerwaarde die van de arbeiders wordt afgenomen (elk 4 door iedere kapitalist) in zijn geheel wordt geconsumeerd in natuurlijke vorm. Daar een kapitalistische samenleving zonder accumulatie onmogelijk is wordt hieronder verder een overeenkomstige correctie doorgevoerd.

5de periode. De desintegratie van de warenproducent heeft zich nu ook uitgebreid tot de landbouwindustrie (a): de loonarbeiders, die voornamelijk in andermans industriële bedrijven werken, konden hun bedrijf niet overeind houden en werden geruïneerd: slechts een paar jammerlijke resten van hun landbouwbedrijf zijn hun overgebleven, de helft van hetgeen zij vroeger bezaten (en wat volgens onze veronderstelling net voldoende was om de behoefte van het gezin te dekken) – precies zoals vandaag de dag de inzaai-arealen van de grote massa van onze ‘landbouw bedrijvende’ boeren slechts de jammerlijke resten zijn van een zelfstandig landbouwbedrijf. In industrie a begint precies dezelfde concentratie tot een klein aantal grote bedrijven. Omdat de loonarbeiders nu al niet eens meer rond kunnen komen met hun eigen graan stijgt het arbeidsloon, dat door hun zelfstandige landbouwbedrijf naar beneden werd gedrukt, en zo krijgt de arbeider het geld om graan te kapen (zij het dan ook in een hoeveelheid die kleiner is dan wat hij als zelfstandige consumeerde): nu produceert de arbeider zelf 11/2 (= 1/2 a) en koopt er 1 bij, waardoor hij in totaal 21/2 ontvangt in plaats van de vroegere 3 (= a). De kapitalistische ondernemers, die bij hun industriële bedrijven een uitgebreid landbouwbedrijf hebben aangesloten, produceren nu elk 2 a (= 6), waarvan 2 in de vorm van arbeidsloon naar de arbeiders gaan, maar waarbij 1 (1/3 a) aan de ondernemers toevalt in de vorm van meerwaarde. De ontwikkeling van het kapitalisme, die door dit schema wordt voorgesteld, gaat vergezeld van een ‘verarming’ van het ‘volk’ (de arbeiders consumeren in totaal nog maar elk 61/2 en niet elk 7, zoals in de 4de periode), evenals van een uitbreiding van de markt, waarop nu al 26 waarde-eenheden terechtkomen. Het ‘verval van het landbouwbedrijf’ bij de meerderheid van de producenten heeft niet een inperking, maar een uitbreiding van de markt voor landbouwproducten bewerkstelligd.

6de periode. De afsluiting van de specialisatie van de arbeid, d.w.z. van de maatschappelijke arbeidsverdeling. Alle industrietakken hebben zich van elkaar afgezonderd en zijn geworden tot een specialiteit van afzonderlijke producenten. De loonarbeiders hebben hun zelfstandige bedrijf helemaal verloren en leven voortaan uitsluitend van de loonarbeid. En het resultaat is wederom hetzelfde: ontwikkeling van het kapitalisme [de zelfstandige bedrijven voor de dekking van eigen behoeften zijn definitief verdrongen], ‘verarming van de massa’ [al is het arbeidsloon dan ook gestegen, de consumptie is bij de arbeiders gedaald van 61/2 tot 6; zij produceren elk 9 (3 a, 3 b, 3 c) en staan 1/3 daarvan in de vorm van meerwaarde af aan de ondernemer] en verdere groei van de markt, waarop nu reeds 2/3 van het maatschappelijke product (36) belandt.

VI

Laat ons nu overgaan tot de conclusies uit het aangehaalde schema. De eerste conclusie bestaat hierin, dat het begrip ‘markt’ in geen geval gescheiden mag worden van het begrip van de maatschappelijke arbeidsverdeling – van deze, zoals Marx zegt, ‘algemene basis van alle warenproductie’ [en dus ook – voegen wij daar zelf aan toe – van de kapitalistische productie]. De ‘markt’ ontstaat dáár en in zoverre, wáár en in hoeverre maatschappelijke arbeidsverdeling en warenproductie optreden. De omvang van de markt hangt onafscheidelijk samen met de graad van specialisatie in de maatschappelijke arbeid.

‘Een algemene, maatschappelijk geldige equivalente vorm krijgt het’ (het product) ‘echter alleen in het geld, en dat geld bevindt zich in andermans zak. Om het eruit te krijgen moet de waar voor alles gebruikswaarde zijn voor de geldbezitter, de daaraan bestede arbeid moet dus in een maatschappelijk gezien nuttige vorm besteed zijn of zich als schakel in de maatschappelijke arbeidsverdeling doen blijken. Maar de verdeling van de arbeid is een natuurlijk productieorganisme, waarvan de draden achter de ruggen van de warenproducenten om zijn geweven en nog verder geweven worden. Wellicht is de waar product van een nieuwe arbeidswijze, die voorgeeft een nieuw opgekomen behoefte te bevredigen of deze juist op eigen houtje wenst te scheppen. Gisteren nog een functie onder de vele functies van een en dezelfde warenproducent, scheurt vandaag een bijzondere arbeidshandeling zich wellicht los uit dit verband, maakt zij zich zelfstandig en zendt zij juist daarom haar deelproduct als zelfstandige waar naar de markt.’ (Het kapitaal, deel I, blz. 85. Cursief van mij.)[5]

Aldus worden de grenzen voor de ontwikkeling van de markt in de kapitalistische samenleving ook tot de grenzen van de specialisatie van de maatschappelijke arbeid. Maar deze specialisatie is door haar hele wezen oneindig – evenals de ontwikkeling van de techniek. Opdat de productiviteit van de menselijke arbeid, die bijvoorbeeld wordt gebruikt voor de fabricage van een of ander deeltje van het gehele product, stijgt moet de productie van dit deeltje gespecialiseerd en tot een afzonderlijke productie worden, die te doen heeft met een massaproduct en daardoor het gebruik van machines enz. mogelijk maakt (en als voorwaarde stelt). Dat is de ene kant. Aan de andere kant echter bestaat de technische vooruitgang in de kapitalistische samenleving in de vermaatschappelijking van de arbeid en deze vermaatschappelijking vereist noodzakelijkerwijs een specialisatie in de verschillende functies van het productieproces, de transformatie daarvan uit versplinterde, afzonderlijke, zich in elk productiebedrijf afzonderlijk herhalende functies tot vermaatschappelijkte functies, die in één nieuw bedrijf zijn geconcentreerd en berekend zijn op de bevrediging van de behoeften der hele samenleving. Ik haal hiertoe een voorbeeld aan:

‘De laatste tijd specialiseren de houtverwerkende bedrijven in de Verenigde Staten van Noord-Amerika zich steeds verder; er ontstaan bedrijven waarin bijvoorbeeld uitsluitend bijlstelen of bezemstelen of uitschuifbare tafels worden gefabriceerd... De machinale vervaardiging schrijdt onstuitbaar voorwaarts, voortdurend worden nieuwe machines uitgevonden, die een bepaalde kant van de productie vereenvoudigen en goedkoper maken... Zo is bijvoorbeeld iedere tak in de meubelindustrie geworden tot een specialiteit, die speciale machines en speciale arbeiders verlangt... In de bouw van koetswerken worden de velgen van de wielen vervaardigd in speciale fabrieken (in Missouri, Arkansas, Tennessee), de spaken worden gemaakt in Indiana en Ohio, de naven weer in speciale fabrieken in Kentucky en Illinois. Al deze aparte onderdelen worden gekocht door speciale bedrijven die zich hebben gespecialiseerd in de vervaardiging van complete wielen. Zo neemt een heel dozijn fabrieken deel aan de vervaardiging van een goedkope koets’. (De heer Tverskoj: ‘Tien Jaar in Amerika’, ‘Wjestnik Jewropy’, jaargang 1893, nummer 1. Ik citeer hier volgens Nik-on,[6] blz. 91, noot 1.)

Hieraan kan men zien hoe foutief de bewering is dat de groei van de markt in de kapitalistische samenleving, die wordt veroorzaakt door de specialisatie van de maatschappelijke arbeid, tot een einde zou moeten komen zodra alle producenten van de natuurlijke huishouding geworden zijn tot warenproducenten. De Russische koetsenindustrie is allang tot warenproductie geworden, maar dingen als velgen worden nog altijd vervaardigd door ieder koetsbouw- (of wagenwielbouw-) bedrijf apart; de techniek staat op een lager niveau en de productie is versplinterd onder vele producenten. De technische vooruitgang moet leiden tot een specialisatie in de verschillende delen van de productie, tot de vermaatschappelijking daarvan en dientengevolge ook tot een uitbreiding van de markt.

Hier moet echter een voorbehoud worden gemaakt. Alles wat tot nu toe werd uiteengezet houdt in genen dele een ontkenning in van de stelling dat een kapitalistische natie niet kan bestaan zonder externe markten. Bij de kapitalistische productie wordt het evenwicht tussen productie en consumptie slechts bereikt via een reeks van schommelingen; hoe groter de productie en hoe uitgebreider de consumentenkring waarvoor deze is bestemd, des te sterker zijn ook deze schommelingen. Daarom is het begrijpelijk dat het voor de kapitalistische productie, wanneer deze een hoge graad van ontwikkeling heeft bereikt, niet meer mogelijk is om binnen het kader van een nationale staat te blijven: de concurrentie dwingt de kapitalisten om de productie voortdurend op te voeren en om voor een massale afzet van de producten externe markten te zoeken. Het ligt voor de hand dat, evenmin als de crises inbreuk maken op de wet van de waarde, de noodzaak tot externe markten voor een kapitalistische natie inbreuk maakt op de wet volgens welke de markt alleen maar uitdrukking van de maatschappelijke arbeidsverdeling in de warenhuishouding is en als gevolg daarvan even oneindig kan groeien als de arbeidsverdeling. Het gejammer over de markten is in de Russische literatuur pas begonnen toen onze kapitalistische productie in aparte takken (bv. de katoenindustrie) haar volledige ontwikkeling bereikt had, zich vrijwel geheel meester had gemaakt van de binnenlandse markt en zich had aaneengesloten tot een klein aantal gigantische ondernemingen. Het beste bewijs dat de materiële basis van het gepraat over de markten en van de ‘vraagstukken’ van de markt juist de belangen van onze kapitalistische grote industrie vormen wordt geleverd door het feit dat nog niemand in onze literatuur de ondergang van onze koestarindustrie[15] heeft voorspeld als gevolg van het verdwijnen van de ‘markten’, hoewel de koestarindustrie waarden van meer dan een miljard roebel produceert en juist voor dat ‘verarmde’ volk werkt. Het geschreeuw dat onze industrie ten onder zou moeten gaan als gevolg van een gebrek aan markten is niets anders dan een doorzichtige manoeuvre van onze kapitalisten, die op deze wijze druk uitoefenen op de politiek, de belangen van hun geldzak (in het bescheiden bewustzijn van hun ‘onmacht’) identificeren met de belangen van het ‘land’ en het klaarspelen om de regering in de baan van een koloniale veroveringspolitiek te dwingen en haar zelfs – om dergelijke ‘staats’belangen veilig te stellen – in een oorlog te verwikkelen. Er is inderdaad wel het hele bodemloze utopisme en de hele bodemloze naïveteit van de narodniki voor nodig om dat geschreeuw over de markten – die krokodillentranen van een volop aangesterkte en zelfs al driest geworden bourgeoisie – aan te zien als een bewijs voor de ‘onmacht’ van ons kapitalisme!

De tweede conclusie bestaat hierin, dat de ‘verarming van de massa van het volk’ (dit onontkoombare bestanddeel van alle narodistische beschouwingen over de markt) niet alleen géén hinderpaal vormt voor de ontwikkeling van het kapitalisme, maar integendeel: zelfs de uitdrukking vormt voor de ontwikkeling daarvan en een voorwaarde vormt voor het kapitalisme en het sterker maakt. Het kapitalisme heeft behoefte aan de ‘vrije arbeider’ en die verarming bestaat nu juist hierin, dat de kleine producenten worden getransformeerd tot loonarbeiders. Deze verarming van de massa gaat hand in hand met de verrijking van een geringer aantal uitbuiters, de ruïne en de ondergang van de kleine bedrijven gaan vergezeld van de versterking en de ontwikkeling van de grotere bedrijven; en beide processen bevorderen de uitbreiding van de markt: de ‘verarmde’ boer, die vroeger zijn levensonderhoud bestreed uit eigen bedrijf, leeft nu van een ‘bijverdienste’, d.w.z. van de verkoop van zijn arbeidskracht; hij moet de noodzakelijke consumptiemiddelen (zij het dan ook in kleinere hoeveelheden en van slechtere kwaliteit) nu kopen; aan de andere kant worden de productiemiddelen die deze boer inboet geconcentreerd in handen van een minderheid; zij veranderen in kapitaal en het vervaardigde product wordt nu op de markt gebracht. Slechts daardoor kan ook het verschijnsel worden verklaard dat de massale onteigening van onze boeren na de hervorming niet vergezeld ging van een verkleining, maar van een vergroting in de productieve prestatiekracht van ons land[16] en van een uitbreiding van de binnenlandse markt: het is een algemeen bekend feit dat de productie van de grote fabrieken en bedrijven enorm is gestegen en dat de koestarbedrijven zich aanzienlijk hebben uitgebreid – de een zowel als de ander werken hoofdzakelijk voor de binnenlandse markt – en tegelijk daarmee was ook de hoeveelheid graan die op de binnenlandse markt werd omgezet toegenomen (de ontwikkeling van de graanhandel binnen ons land).

Voor de derde conclusie – de betekenis van de productie van productiemiddelen – is een correctie op het schema nodig. Zoals reeds is opgemerkt pretendeert dit schema in het geheel niet dat het het hele ontwikkelingsproces van het kapitalisme voorstelt; het wil veeleer alleen maar aantonen hoe de aflossing van de natuurlijke huishouding door de warenhuishouding en die van de warenhuishouding door de kapitalistische huishouding inwerkt op de markt. Daarom werd er in het schema ook van de accumulatie geabstraheerd. In werkelijkheid kan de kapitalistische maatschappij echter niet bestaan zonder te accumuleren, omdat de concurrentie iedere kapitalist op straffe van ondergang dwingt zijn productie uit te breiden. Een dergelijke uitbreiding van de productie werd ook in het schema opgenomen: producent I bijvoorbeeld breidde in de tijd tussen de derde en de vierde periode zijn productie uit met het drievoudige: namelijk van 2 c tot 6 c, vroeger werkte hij alleen in het bedrijf, nu met twee loonarbeiders. Het spreekt vanzelf dat deze uitbreiding niet kon plaatsvinden zonder accumulatie: er moest een werkplaats worden gebouwd voor meer dan één persoon, er moesten meer productie-instrumenten worden aangeschaft, er moesten grotere hoeveelheden grondstoffen worden gekocht, enz. Datzelfde gaat ook op voor producent IV, die productie b heeft uitgebreid. Deze uitbreiding van individuele bedrijven, deze concentratie van de productie, moest noodzakelijk leiden tot de productie van productiemiddelen voor de kapitalisten – machines, ijzer, steenkool, enz. (óf deze versterken, hetgeen op hetzelfde neerkomt). De concentratie van de productie heeft de productiviteit van de arbeid verhoogd, heeft handenarbeid vervangen door machinale arbeid en heeft een bepaald aantal arbeiders op straat gezet. Aan de andere kant heeft ook de productie van deze machines en van andere productiemiddelen zich ontwikkeld, die door de kapitalisten tot constant kapitaal werden getransformeerd, dat nu sneller begint te groeien dan het variabele kapitaal. Wanneer men bijvoorbeeld de vierde periode zou vergelijken met de zesde, dan zou het resultaat een verhoging in de productie van productiemiddelen zijn met anderhalf maal (omdat wij in het eerste geval twee kapitalistische ondernemingen hebben die een vergroting van het constante kapitaal bevorderen en in het laatste geval daarentegen drie): wanneer wij deze verhoging zouden vergelijken met de toename in de productie van consumptiegoederen, dan zouden we eveneens die snellere groei in de productie van productiemiddelen verkrijgen waarover hierboven werd gesproken.

De hele zin en de hele betekenis van deze wet van de snellere groei van de productiemiddelen bestaat immers slechts hierin, dat de vervanging van handenarbeid door machinale arbeid – en de technische vooruitgang bij de machinale industrie in het algemeen – een versterkte ontwikkeling eist van de industrieën die steenkool en ijzer, deze uitgesproken ‘productiemiddelen voor productiemiddelen’, winnen. Dat de referent de zin van deze wet niet heeft begrepen en via schema’s die het proces voorstellen de werkelijke inhoud van dit proces over het hoofd heeft gezien blijkt overduidelijk uit zijn hier volgende opmerking: ‘Voor iemand die met deze dingen niet vertrouwd is lijkt een dergelijke productie van productiemiddelen voor productiemiddelen volkomen onzinnig, maar ook (sic!) Pljoesjkins[7] bijeenschrapen van geld omwille van het geld was tenslotte even (?!!) volkomen onzinnig. Noch de een, noch de ander weet wat hij doet.’ En de narodniki doen dan ook alle mogelijke moeite om juist dit – de onzinnigheid van het Russische kapitalisme, dat het volk wel zou ruïneren, maar geen hogere en effectievere organisatie van de productie zou scheppen – aan te tonen. Dat zijn natuurlijk maar sprookjes. In de vervanging van de handenarbeid door machinale arbeid zit niets ‘onzinnigs’: integendeel, daarin zit nu juist de hele progressieve werkzaamheid van de menselijke techniek. Hoe verder de techniek ontwikkeld wordt, des te verder wordt de handenarbeid van de mens teruggedrongen en vervangen door een reeks van steeds gecompliceerder wordende machines: in de totale productie van het land nemen de machines en de voor de vervaardiging daarvan noodzakelijke goederen een steeds grotere plaats in.[17]

Deze drie conclusies moeten nog worden aangevuld met twee opmerkingen:

In de eerste plaats: de bovenstaande uiteenzettingen houden op geen enkele wijze een ontkenning van de ‘tegenstelling in de kapitalistische productiewijze’, waar Marx in de volgende termen over spreekt: ‘De arbeiders als kopers van waren zijn belangrijk voor de markt. Maar als verkopers van hun waren – de arbeidskracht – heeft de kapitalistische samenleving de tendens om ze te beperken tot een minimum van de prijs.’ (‘Het Kapitaal’, deel II).[8] Hierboven werd al getoond dat in de kapitalistische samenleving onvermijdelijk ook dat deel van de maatschappelijke productie moet groeien dat consumptiemiddelen schept. De ontwikkeling van de productie van productiemiddelen dringt de genoemde tegenstelling slechts tijdelijk terug, maar heft deze niet op. Deze kan slechts worden geliquideerd tegelijk met de kapitalistische productiewijze. Het spreekt echter vanzelf dat het volkomen onzinnig is om in deze tegenstelling een hinderpaal te zien voor de volledige ontwikkeling van het kapitalisme in Rusland (zoals de narodniki dat zo graag doen); – overigens is dit door het schema al voldoende duidelijk naar voren gekomen.

In de tweede plaats: wanneer men de verhouding tussen de groei van het kapitalisme en de groei van de ‘markt’ onderzoekt, dan moet men onvermijdelijk ook rekening houden met de onbetwistbare waarheid dat de ontwikkeling van het kapitalisme onvermijdelijk een toename ten gevolge heeft in de behoeften van de totale bevolking en van het arbeidersproletariaat. Deze toename wordt zeer in het algemeen bepaald door de grotere frequentie van de productenruil, die ertoe leidt dat de bewoners van stad en land en de bewoners van verschillende geografische gebieden enz. vaker bij elkaar komen. Gelijke gevolgen heeft ook de samenballing, de samendringing van het arbeidersproletariaat, waardoor het bewustzijn en het gevoel van menselijke waardigheid versterkt worden en de arbeider de mogelijkheid krijgt om met succes de strijd aan te binden tegen de roofzuchtige tendensen van de kapitalistische orde. Deze wet van de toename in de behoeften heeft in de geschiedenis van Europa haar volledige bevestiging gevonden – men vergelijke bijvoorbeeld de Franse proletariër van het einde van de achttiende eeuw met die van het einde der negentiende eeuw of de Engelse arbeider van de jaren 1840[18] met die van vandaag. Diezelfde wet is ook werkzaam in Rusland: de snelle ontwikkeling van de warenhuishouding en van het kapitalisme in de tijd na de hervorming heeft ook de behoeften van de ‘boeren’ doen stijgen: de boeren beginnen ‘chiquer’ (wat kleding, woning e.d. betreft) te leven. Dat dit ongetwijfeld progressieve verschijnsel juist aan het Russische kapitalisme en aan niets anders moet worden toegeschreven wordt alleen al bewezen door het algemeen bekende feit (dat in alle onderzoeken naar ons koestarbedrijf en van het boerenbedrijf in het algemeen werd vastgesteld) dat de boeren in de industriële gebieden aanzienlijk ‘chiquer’ leven dan de boeren die alleen maar het landbouwbedrijf doen en nauwelijks door het kapitalisme zijn beroerd. Natuurlijk wordt dit verschijnsel het eerst en het gemakkelijkst zichtbaar uit de overname van de zuiver uiterlijke kanten, van de façade der ‘beschaving’, maar slechts door de wol geverfde reactionairen van het slag van de heer W.W.[9] zijn in staat om dit verschijnsel te bejammeren en er niets anders in te zien dan ‘verval’.

VII

Om te kunnen begrijpen waarin het ‘vraagstuk van de markten’ eigenlijk bestaat doet men er het beste aan de opvattingen van de narodniki te vergelijken met die van de marxisten, en wel over het proces dat door de schema’s 1 (ruil tussen de kapitalisten van positie A en de directe producenten van positie W) en 2 (de transformatie van de natuurlijke huishouding van 6 producenten tot een kapitalistische huishouding) wordt geïllustreerd.

Als wij het eerste schema accepteren, dan kunnen wij onszelf niets duidelijk maken. Waarom ontwikkelt het kapitalisme zich? Waar komt het vandaan? Het verschijnt als een soort van ‘toeval’ en het ontstaan ervan wordt óf teruggebracht tot de mening dat ‘wij niet de juiste weg hebben ingeslagen’..., óf tot de mening dat de overheid het zou hebben ‘ingevoerd’. Waarom ‘verarmt de massa’? – ook hierop geeft het schema geen antwoord; in plaats daarvan sturen de narodniki ons in het riet met sentimentele frasen over een ‘door de eeuwen geheiligde levensorde’, over een afwijking van de juiste weg en met meer van dergelijk geklets, waarbij de veelgeroemde ‘subjectieve methode in de sociologie’ zo handig is.

Het onvermogen om het kapitalisme te verklaren en de voorkeur voor utopieën boven onderzoek en verklaring van de werkelijkheid leiden ertoe dat de betekenis en de kracht van het kapitalisme worden ontkend. Het wordt net zo bekeken als een op sterven na dode patiënt, die niet weet waar hij de krachten voor zijn ontwikkeling vandaan moet halen. En wij zullen deze patiënt maar een heel geringe en nauwelijks voelbare verbetering brengen wanneer wij zeggen dat hij zich kan ontwikkelen met behulp van de productie van ‘productiemiddelen voor productiemiddelen’. Want daarvoor is de ontwikkeling van de kapitalistische techniek nodig[19] en ‘wij zien echter’ dat het nu juist aan deze ontwikkeling schort. Daarvoor is het noodzakelijk dat het kapitalisme zich meester maakt van het hele land, maar wij zien echter dat ‘het nooit tot een algemene ontplooiing van het kapitalisme kan komen’.

Accepteren wij daarentegen het tweede schema, dan zullen noch de ontwikkeling van het kapitalisme, noch de verarming van het volk ons als een toeval voorkomen. Het zijn noodzakelijke begeleidende verschijnselen van de op de maatschappelijke arbeidsverdeling berustende warenhuishouding. Het vraagstuk van de markt komt volledig te vervallen, omdat de markt niets anders is dan een uitdrukking van deze arbeidsverdeling en van deze warenproductie. De ontwikkeling van het kapitalisme verschijnt dan niet alleen meer als mogelijk [wat de referent in het beste geval[20] had kunnen bewijzen], maar evenzeer als noodzakelijk, omdat, wanneer de nationale economie berust op de arbeidsverdeling en op de warenvorm van het product, de technische vooruitgang tot versterking en verdieping van het kapitalisme moet leiden.

En hier komt de vraag op waarom nu juist de tweede opvatting aanvaard zou moeten worden. Waarin bestaat het criterium voor de juistheid ervan?

Dat bestaat in de feiten van de tegenwoordig economische werkelijkheid in Rusland.

Het zwaartepunt van het tweede schema ligt op de overgang van de warenhuishouding naar de kapitalistische huishouding en in de scheiding van de warenproducenten in kapitalisten en proletariaat. Wanneer wij ons wenden tot de verschijnselen van de hedendaagse nationale economie in Rusland, dan zien wij dat de belangrijkste plaats wordt ingenomen door de desintegratie van onze kleine producenten. Wanneer wij de landbouwboeren nemen, dan blijkt dat aan de ene kant massa’s boeren hun grond opgeven, hun economische zelfstandigheid verliezen en tot proletariërs worden, terwijl aan de andere kant boeren hun inzaaiareaal voortdurend uitbreiden en overgaan tot verbeterde landbouwmethoden. Aan de ene kant verliezen boeren hun landbouwinventaris (zowel de levende als de dode) – en aan de andere kant schaffen boeren een verbeterde inventaris aan, kopen zij machines enz. [Vgl. W.W.: ‘Progressieve stromingen in het boerenbedrijf’.] Aan de ene kant geven boeren hun land op, verkopen zij hun percelen of verpachten ze – en aan de andere kant zien we weer boeren die percelen pachten en hebzuchtig bezig zijn om particuliere eigendommen aan grond bij elkaar te kopen.

Dit zijn natuurlijk algemeen bekende, allang vastgestelde feiten,[21] waarvan de enige verklaring besloten ligt in de wetten van de warenhuishouding, die ook onze in ‘dorpsgemeenschappen’ levende boeren opdeelt in bourgeoisie en proletariaat. Wanneer wij de koestarbedrijven nemen, dan blijkt dat er na de hervorming niet alleen nieuwe bedrijven zijn ontstaan en dat de oude zich sneller hebben ontwikkeld [dit verschijnsel is een gevolg van de net genoemde opdeling van de landbouwboeren en een gevolg van de voortschrijdende arbeidsverdeling][22], maar dat ook de grote massa van de koestarbedrijfjes steeds verder is verarmd en in de miserie terecht is gekomen en dat zij hun economische zelfstandigheid zijn kwijtgeraakt, terwijl een kleine minderheid zich op kosten van deze massa heeft verrijkt, reusachtige kapitalen opeenhoopte en zich transformeerde tot opkopers, die de afzet naar zichzelf toe trokken en tenslotte in onze koestarbedrijven een reeds volkomen kapitalistisch huissysteem van de grote productie organiseerde.

De aanwezigheid van deze beide polariserende stromingen bij onze kleine producenten toont aanschouwelijk aan dat kapitalisme en verarming van de massa elkaar niet alleen niet uitsluiten, maar integendeel voorwaarde zijn voor elkaar – en het bewijst onweerlegbaar dat het kapitalisme reeds nu het fundament is van het economische leven in Rusland.

En daarom is het geen paradox om te zeggen dat de oplossing van het ‘vraagstuk van de markten’ juist ligt in de desintegratie van de boeren.

Verder moet worden gezegd dat alleen al de (gebruikelijke) manier waarop het beruchte ‘vraagstuk van de markten’ wordt gesteld een reeks van ongerijmdheden inhoudt. De gebruikelijke formulering (zie paragraaf 1) berust direct al op de meest onwaarschijnlijke voorwaarden: de economische verhoudingen binnen de samenleving zouden ook volgens de wil van een bepaalde groep personen, de ‘intelligentsia’ of de ‘regering’, kunnen worden geschapen of vernietigd (want anders zou men met geen mogelijkheid vragen kunnen stellen als: ‘kan’ het kapitalisme zich ontwikkelen? ‘Moet’ Rusland het stadium van het kapitalisme doorlopen? ‘Moet’ de dorpsgemeenschap worden gehandhaafd? enz.); het kapitalisme zou een verarming van het volk uitsluiten; de markt zou iets zijn dat los en onafhankelijk staat van het kapitalisme en een bijzondere voorwaarde voor de ontwikkeling daarvan.

Zonder een correctie op deze ongerijmdheden kan het vraagstuk niet worden opgelost.

Laten we nu werkelijk eens aannemen dat iemand op de vraag: ‘Kan het kapitalisme zich in Rusland ontwikkelen wanneer de massa van het volk arm is en steeds armer wordt?’ het volgende antwoord zou geven: ‘Ja, dat kan het, want het kapitalisme zal zich niet ontwikkelen langs de lijnen van de consumptiemiddelen, maar langs die van de productiemiddelen.’ Zonder enige twijfel ligt aan dit antwoord de volledig juiste gedachte ten grondslag dat de groei van het totale productieve prestatievermogen van een kapitalistische natie in hoofdzaak plaatsvindt langs de lijn van de productiemiddelen (d.w.z. meer langs de lijn van de productiemiddelen dan langs die van de consumptiemiddelen), maar het lijdt nog minder twijfel dat een dergelijk antwoord ons geen jota dichter bij de oplossing van het vraagstuk kan brengen, evenmin als men uit een syllogisme een juiste conclusie kan trekken wanneer de eerste stelling juist is, maar de tweede zinloos. Een dergelijk antwoord (ik herhaal het nog maar eens) gaat er al van uit dat het kapitalisme zich ontwikkelt, zich meester maakt van het hele land, overgaat tot het hoogste technische stadium (de machinale industrie op grote schaal), terwijl de vraag juist uitgaat van het feit dat de mogelijkheid tot ontwikkeling van het kapitalisme en tot de vervanging van de kleine productie door de grote wordt ontkend.

Het ‘vraagstuk van de markten’ moet uit de sfeer van vruchteloze speculaties over wat ‘mogelijk’ is of wat ‘zou moeten zijn’ worden gehaald en worden gesteld op de vaste grond van de werkelijkheid, de grond van het onderzoek en de oplossing van het vraagstuk hoe de economische verhoudingen van Rusland worden gevormd en waarom zij zich nu net zó en niet anders vormen.

Ik wil mij beperken tot het aanhalen van enkele voorbeelden uit het mij ter beschikking staande materiaal, om concreet aan te tonen welke soort van gegevens ten grondslag liggen aan de voorgaande uiteenzetting.

Om aan te tonen dat de kleine producenten zich in een toestand van desintegratie bevinden en dat er onder deze laag niet alleen een proces van verarming, maar ook een proces van de schepping van een (naar verhouding) grote, kapitalistische huishouding aan de gang is wil ik gegevens aanhalen over drie uitsluitend landbouwbedrijvende districten van Europees Rusland: het district Dnjeprowsk in het gouvernement Taurië, het district Novo-oezensk in het gouvernement Samara en het district Kamysjin in het gouvernement Saratov. De gegevens zijn ontleend aan de statistische uitgaven van de Zemstvo’s. Om mogelijke bezwaren dat de gekozen districten niet typisch zouden zijn (in onze grensgebieden, die de lijfeigenschap vrijwel helemaal niet hebben gekend en in aanzienlijke mate pas onder de ‘vrije’ verhoudingen van na de hervorming bewoond raakten is de desintegratie in feite nog sneller opgetreden dan in het centrale gebied) zou ik het volgende willen zeggen:

1. Van de drie op het vasteland gelegen districten van het gouvernement Taurië hebben we het district Dnjeprowsk gekozen omdat het door en door Russisch (0,6 % kolonistenbedrijven) is en wordt bewoond door boeren die bij een dorpsgemeenschap horen.

2. Voor het district Novo-oezensk hebben wij alleen de gegevens over de Russische (tot een dorpsgemeenschap behorende) bevolking genomen [zie de bundel ‘Statistische Gegevens over het District Novo-oezensk’, blz. 432-439, rubriek a], waarbij de zogenaamde ‘aparte boeren’, d.w.z. de boeren die vroeger bij de dorpsgemeenschap hebben behoord, maar daaruit zijn getreden en zich op gekochte of gepachte grond apart hebben gevestigd, niet zijn meegerekend. Wanneer men deze vertegenwoordigers van de ‘farmerhuishouding’[23] erbij zou nemen, dan zou de desintegratie aanzienlijk sterker aan het licht treden.

3. Voor het district Kamysjin brengen wij slechts de gegevens over de Groot-Russische (tot de dorpsgemeenschap behorende) bevolking.

De rubricering in de ‘Bundels’ vond voor het district Dnjeprowsk plaats volgens de grootte van het inzaaiareaal per bedrijf, voor de overige volgens het aantal trekdieren.[10][11]

Tabel van boeren per district

Tot de arme groep werden in het district Dnjeprowsk de boerderijen gerekend die helemaal geen land of minder dan 10 desjatienen per bedrijf bewerken; in de districten Novo-oezensk en Kamysjin de bedrijven zonder trekvee of met één trekdier. Tot de middengroep behoren in het district Dnjeprowsk de bedrijven met tussen 10 en 25 desjatienen inzaaiareaal per bedrijf, in het district Novo-oezensk de bedrijven met tussen 2 en 4 trekdieren en in het district Kamysjin de bedrijven met 2 à 3 trekdieren. Tot de welgestelde groep worden de bedrijven gerekend met meer dan 25 desjatienen inzaaiareaal (district Dnjeprowsk) en met meer dan 4 (district Novooezensk) of met meer dan 3 (district Kamysjin) trekdieren per bedrijf.

Naar uit deze gegevens duidelijk zichtbaar wordt voltrekt zich onder onze landbouw bedrijvende en tot een dorpsgemeenschap behorende boeren niet louter en alleen een proces van verarming en ruïnering, maar ook een proces van differentiatie in bourgeoisie en proletariaat. Een reusachtige massa boeren (de arme groep) – gemiddeld ongeveer de helft – verliezen hun economische zelfstandigheid. In hun handen bevindt zich nog slechts een zeer gering deel van de totale bedrijvigheid der daar aanwezige boeren: slechts een armzalige 13 % van het inzaaiareaal (gemiddeld); per bedrijf zijn er 3-4 desjatienen inzaaiareaal. Om te kunnen beoordelen wat een dergelijk areaal inhoudt wijzen wij op het feit dat in het gouvernement Taurië een boerenbedrijf 17-18 desjatienen[24] inzaaiareaal nodig heeft om alleen te kunnen bestaan van het eigen bedrijf, zonder zogenaamde ‘bijverdiensten’. Het is duidelijk dat de boeren in de onderste groep al veel meer van de ‘bijverdienste’, d.w.z. van de verkoop van hun arbeidskracht, leven dan van hun bedrijf. Wanneer we er meer op details ingaande gegevens bij betrekken, die de toestand van de boeren in deze groep kenmerken, dan zien wij dat juist deze groep het grootste contingent boeren telt die hun bedrijf opgeven, hun grondaandeel hebben verpacht, hun arbeidsinventaris zijn kwijtgeraakt en op bijverdiensten uittrekken. De boeren van deze groep behoren tot ons plattelandsproletariaat.

Maar aan de andere kant scheidt zich uit dezelfde tot de dorpsgemeenschap behorende boeren een heel andere groep af, die hier qua karakter diametraal tegenover staat. De boeren uit de bovenste groep bewerken 7 tot 10 maal zoveel land als die in de onderste groep. Vergelijken we dit inzaaiareaal (23-40 desjatienen per bedrijf) met het ‘normale’ areaal, waarbij een familie uitsluitend van haar bedrijf kan bestaan zonder tekort te komen, dan zien we dat dit 2 à 3 maal zo groot is als dit laatste. Het is duidelijk dat deze boeren reeds landbouw bedrijven om een inkomen te bereiken, om met het graan te handelen. Deze boeren hopen aanzienlijke besparingen op en gebruiken deze ter verbetering van het bedrijf en ter verhoging van het peil in de landbouw; zij schaffen bijvoorbeeld landbouwmachines en verbeterde werktuigen aan: zo hebben bijvoorbeeld in het district Novo-oezensk 14 % van alle beheerders verbeterde landbouwwerktuigen; maar in de bovenste groep zijn het al 42 % van de boeren die verbeterde werktuigen bezitten (zodat in dat district 75 % van de bedrijven met verbeterde landbouwwerktuigen vallen in de boeren van de bovenste groep), en in hun handen zijn 82 % van alle aan de ‘boeren’ toebehorende verbeterde werktuigen geconcentreerd.[25] De boeren van de bovenste groep kunnen het bij de bewerking van hun land al niet meer stellen met de eigen arbeidskracht en dus nemen zij loonarbeiders aan: zo hebben bijvoorbeeld in het district Novo-oezensk 35 % van alle boeren uit de bovenste groep constant loonarbeiders in dienst (ongeacht de arbeiders die bijvoorbeeld voor het maaien e.d. worden aangenomen); precies zo is het gesteld in het district Dnjeprowsk. Om kort te gaan: de boeren van de bovenste groep behoren zonder twijfel reeds tot de bourgeoisie. Hun kracht is al niet meer gebaseerd op de uitplundering van andere producenten (zoals de kracht van de woekeraars en van de ‘koelakken’), maar op de zelfstandige organisatie[26] van de productie: in handen van deze groep, die slechts een vijfde deel vormt van alle boeren, is meer dan de helft van het areaal geconcentreerd [ik neem nu het gemiddelde voor alle drie districten]. Houdt men rekening met het feit dat de arbeidsproductiviteit (d.w.z. de oogstopbrengst) bij deze boeren onvergelijkelijk veel hoger is dan die bij de zich op het veld afbeulende proletariërs uit de onderste groep, dan komt men onherroepelijk tot de conclusie dat de belangrijkste drijvende kracht bij de graanproductie de plattelandsbourgeoisie is.

Welke invloed moest deze splitsing van de boeren in bourgeoisie en proletariërs (de narodniki zien in dit proces niets anders dan een ‘verarming van de massa’) nu hebben op de grootte van de markt, d.w.z. op dat deel van de hoeveelheid graan die tot waar wordt getransformeerd? Het is wel duidelijk dat dit deel aanzienlijk moest groeien omdat de hoeveelheid graan bij de boeren in de bovenste groep de eigen behoefte ruimschoots overschreed en dus naar de markt werd gebracht; aan de andere kant moesten de boeren uit de onderste groep voor het geld dat zij via bijverdiensten kregen er graan bijkopen.

Om nauwkeurige gegevens aan te kunnen voeren in verband met dit vraagstuk wenden wij ons niet tot de verzamelbundels van de Zemstvostatistieken, maar tot het boek van W.J. Postnikov: ‘Het Boerenbedrijf in Zuidelijk Rusland’. Postnikov beschrijft op grondslag van de statistische gegevens der Zemstvo’s het boerenbedrijf van de 3 op het vasteland gelegen districten van het gouvernement Taurië (de districten Berdjansk, Melitopolj en Dnjeprowsk) en analyseert dit bedrijf overeenkomstig de verschillende soorten van boeren [die volgens grootte van het areaal worden ingedeeld in 6 categorieën: 1. zonder areaal; 2. tot 5 desjatienen; 3. 5 tot 10 desjatienen; 4. 10 tot 25 desjatienen; 5. 25 tot 50 desjatienen; en 6. meer dan 50 desjatienen areaal]. Bij zijn onderzoek naar de betrekkingen van deze verschillende groepen ten opzichte van de markt deelt de schrijver het areaal van elk landbouwbedrijf in de volgende vier delen in: 1. het economisch areaal – zo noemt Postnikov dat deel van het areaal dat het voor het areaal noodzakelijke zaaigoed levert; 2. het voedingsareaal – dat het graan levert voor de voeding van de boer en zijn gezin, en ook voor de boerenknechten; 3. het voederareaal – dat het voer voor het trekvee levert; en tenslotte 4. het handels- of marktareaal – dat het product levert dat tot waar wordt getransformeerd en via de markt naar buiten wordt verhandeld. Het is duidelijk dat alleen maar uit het laatstgenoemde areaal een inkomen in geld wordt bereikt, terwijl de overige arealen slechts een inkomen in natura opleveren, d.w.z. een product dat in het bedrijf zelf wordt verbruikt.

Postnikov berekent hoe groot deze delen van het areaal bij de verschillende groepen van boeren zijn en geeft daarvoor de volgende tabel:

Tabel polarisatie van boeren

Uit deze gegevens zien wij: hoe groter het bedrijf, hoe meer het een warenkarakter aanneemt en hoe groter het deel van het graan is dat voor de verkoop wordt verbouwd [12, 36, 52 en 61 % in de verschillende groepen]. De voornaamste producenten, de boeren uit de beide bovenste groepen (zij bezitten meer dan de helft van het totale areaal), verhandelen meer dan de helft van hun totale landbouwproducten (52 en 61 %).

Wanneer er onder de boeren geen splitsing zou bestaan in bourgeoisie en proletariaat – of met andere woorden: zou het areaal onder alle ‘boeren’ ‘gelijkmatig’ verdeeld zijn – dan zouden alle boeren behoren tot de middengroep (die 10 tot 25 desjatienen bewerkt) en dan zou nog slechts 36 % van het graan op de markt terechtkomen, d.w.z. het product van 518.136 desjatienen areaal (36 % van 1.439.267 = 518.136). Maar, zoals uit de tabel zichtbaar wordt, komt nu 42 % van het graan op de markt, d.w.z. het product van 608.869 desjatienen. Op deze wijze hebben de ‘verarming van de massa’, de volledige ondergang der bedrijven van 40 % van alle boeren (de arme groep, d.w.z. de boeren die tot 10 desjatienen bewerken), tezamen met de vorming van een plattelandsproletariaat ertoe geleid dat er aanvullend een product van 90.000[27] desjatienen areaal op de markt werd gegooid.

Ik wil helemaal niet beweren dat de uitbreiding van de ‘markt’, die wordt veroorzaakt door de desintegratie van de boeren, zich hiertoe beperkt. Bij lange na niet.

Wij hebben bijvoorbeeld gezien dat de boeren verbeterde werktuigen aanschaffen, d.w.z. hun besparingen in geld gebruiken voor de ‘productie van productiemiddelen’. Wij hebben gezien dat er op de markt buiten het graan nog een andere waar terecht is gekomen, namelijk de arbeidskracht van de mens. Ik heb dit alles alleen maar onvermeld gelaten omdat ik dit voorbeeld heb aangevoerd met een beperkt en speciaal doel: namelijk om aan te tonen dat bij ons in Rusland de verpaupering van de massa inderdaad leidt tot een versterking van de warenhuishouding en de kapitalistische huishouding. Ik heb met opzet een product als graan gekozen, omdat dit overal en altijd als laatste en het langzaamst wordt betrokken bij de warencirculatie. Om die reden heb ik ook een uitsluitend landbouw bedrijvend gebied gekozen.

Maar nu een ander voorbeeld uit een zuiver industrieel gebied, namelijk het gouvernement Moskou. Het boerenbedrijf daarvan is beschreven door de statistici van de Zemstvo in de delen VI en VII van de bundels ‘Statistische gegevens over het gouvernement Moskou’ en beide delen bevatten een reeks van uitstekende bijdragen over het koestarbedrijf. Ik wil mij ertoe beperken om uit de bijdrage Het kantklosbedrijf[28] een plaats aan te voeren die verklaart op welke wijze en waarom de boerenhandwerken zich na de hervorming zo bijzonder snel hebben ontwikkeld.

Het kantklosbedrijf ontstond in de jaren twintig van deze eeuw in twee naburige dorpen van de wolostj Woronowo, district Podolsk. ‘In de loop van de jaren veertig verbreidde het zich langzamerhand ook tot andere nabijgelegen dorpen, overigens zonder zich ook tot een groter gebied uit te breiden. Maar vanaf het begin der zestiger jaren, en speciaal in de laatste 3-4 jaar, breidt het zich snel door de hele omgeving uit.’

In de 32 dorpen waarin dat handwerk tegenwoordig wordt bedreven ontstond het

in 2 dorpen in 1820

- 4 – “ – – 1840

- 5 – “ – – in de jaren zestig

- 7 – “ – – – – – “ – 1870-1875

- 14 – “ – – – – – “ – 1876-1879

‘Onderzoeken wij’, zegt de schrijver van dit werk, ‘de oorzaken van dit verschijnsel, d.w.z. de buitengewone uitbreiding van het handwerk juist in de laatste jaren, dan zien wij dat aan de ene kant de levensvoorwaarden van de boeren in deze tijd aanzienlijk verslechterd zijn, terwijl echter aan de andere kant de behoeften van de bevolking – van dat deel dat in gunstiger omstandigheden leeft – aanzienlijk gestegen zijn.’

Ter staving van het gezegde ontleent de schrijver de volgende gegevens aan de Zemstvo-statistiek voor Moskou, die ik hier aanhaal in de vorm van een tabel:[29]

Tabel van landbouwbedrijf in district Podolsk

‘Deze cijfers’, vervolgt de schrijver, ‘tonen op zeer aanschouwelijke wijze aan dat het totale aantal paarden, koeien en kleinvee in deze wolostj is toegenomen, maar dat deze groeiende welvaart slechts aan enkelingen ten deel is gevallen, namelijk aan de categorie boeren die elk 2, 3 en meer paarden bezitten... Wij zien dus dat gelijktijdig met de getalmatige toename van het aantal boeren die koe noch paard bezitten ook het aantal van degenen die ophouden met het bewerken van de grond toeneemt: geen vee, niet genoeg meststoffen; de bodem raakt uitgeput; het loont niet langer om de grond te bewerken; om zichzelf en zijn gezin te kunnen voeden om niet van honger te sterven is het niet voldoende dat alleen de mannen een handwerk bedrijven – dat deden zij ook vroeger in de tijd die overbleef na de arbeid op het veld –, ook de andere leden van het gezin moeten een bijverdienste zoeken...

... De door ons in de tabellen opgenomen cijfers hebben ons opmerkzaam gemaakt op nog een ander verschijnsel; in deze dorpen is ook het aantal toegenomen van degenen die 2 of 3 paarden, resp. koeien bezitten. Dientengevolge is de welvaart van deze boeren gestegen, terwijl wij toch tegelijkertijd hebben verklaard dat ‘zonder uitzondering alle vrouwen en kinderen van een dorp tewerk zijn gesteld in een handwerk’. Hoe kan dit verschijnsel worden verklaard?... Om ons dit verschijnsel duidelijk te maken moeten wij het leven in deze dorpen bekijken en moeten wij ons nader vertrouwd maken met de huiselijke omstandigheden; dan zullen wij wellicht zien waar deze sterke drang om waren voor de verkoop te produceren vandaan komt.

Natuurlijk zullen wij hier niet diepgaand onderzoeken onder welke gunstige omstandigheden zich uit het milieu van de boerenbevolking langzamerhand sterke individuen en families afscheiden, onder welke omstandigheden hun welstand wordt geschapen en tot welke maatschappelijke voorwaarden het feit te herleiden is dat deze welstand, wanneer zij eenmaal is ontstaan, snel kan groeien en dermate snel groeit dat zij een deel van de dorpsbewoners aanzienlijk boven de andere verheft. Om dit proces te kunnen volgen is het voldoende om te wijzen op een der meest alledaagse verschijnselen op het platteland. In een bepaald dorp staat de een of andere boer bij zijn dorpsgenoten bekend als een gezond, sterk, nuchter en arbeidzaam mens; hij heeft een groot gezin, meest zoons, die zich onderscheiden door dezelfde krachtige lichaamsbouw en dezelfde goede eigenschappen; zij leven allen in een gemeenschappelijke huishouding, zij verdelen het land niet onder elkaar en zij verkrijgen een stuk toegewezen grond voor 4 of 5 personen. Om dat te kunnen bewerken is er begrijpelijkerwijs geen behoefte aan alle in het gezin beschikbare arbeidskracht. En zo komt het dat 2 à 3 zoons constant binnen of buiten het dorp een handwerk bedrijven; alleen in de hooitijd geven zij hun werk voor korte tijd op en helpen zij hun familie bij de arbeid op het veld. De verdiensten van elk der gezinsleden zijn niet versplinterd, maar gemeenschappelijk eigendom; onder gunstig blijvende omstandigheden stijgen zij aanzienlijk uit boven de uitgaven die noodzakelijk zijn om het gezin te onderhouden. Er treden besparingen op, die het voor deze familie mogelijk maken om het bedrijf onder betere omstandigheden te voeren: zij kan tegen baar geld de grondstoffen uit eerste hand kopen, de geschapen waar dan weer verkopen wanneer zij goed in de prijs ligt, zij kan het stellen zonder de tussenkomst van allerlei ‘geldschieters’, handelaren en opkoopsters, enz.

Zo wordt het mogelijk om één arbeider, en later nog weer eentje, in dienst te nemen of om aan arme boeren die niet meer in staat zijn hun bedrijf volledig zelfstandig te leiden thuiswerk te bezorgen. Op grond van deze en dergelijke omstandigheden is de door ons hier geschilderde sterke familie in staat om winst te behalen uit meer dan hun eigen arbeid. Wij gaan hier vanzelfsprekend niet in op gevallen waarin zich uit dergelijke families individuen ontwikkelen die in de dorpsgemeenschap bekend staan onder de aanduiding koelakken en bloedzuigers, maar wij beschouwen slechts de meest gebruikelijke verschijnselen onder de boerenbevolking. De tabellen in het tweede deel van de bundel en in de 1ste aflevering van deel VI tonen duidelijk aan dat in dezelfde mate als die waarin de toestand van een deel der boeren verslechtert, in de meeste gevallen de welvaart van een ander, klein deel van de boeren of van individuele boeren toeneemt.

In dezelfde mate als die waarin de handwerkbedrijvigheid zich uitbreidt wordt ook het verkeer met de buitenwereld en met de stad – in dit geval Moskou – ook frequenter en dan dringen bepaalde Moskouse levensgewoonten langzamerhand door tot het dorp, waarbij zij het eerst worden overgenomen door juist deze meer welgestelde families. Er worden een samowar, het nodige vaatgoed van glas en aardewerk en ‘chiquere’ kleren aangeschaft. Wanneer deze chiquere kleding zich bij onze boeren in het begin slechts uit in het feit dat zij in plaats van bastschoenen laarzen met schachten dragen, dan vormen bij de vrouwen schoenen en laarsjes als het ware de bekroning van de chiquere kleding; zij dwepen vooral met levendige, bonte katoentjes, hoofddoeken, wollen sjaals met patroontjes en meer van dergelijke heerlijkheden...

... In de boerenfamilie bestaat ‘van oudsher’ het gebruik dat de vrouw haar man, zichzelf en de kinderen in de kleren steekt... Zolang men zijn eigen vlas verbouwde hoefde men voor het kopen van stof en kledingsstukken minder geld uit te geven; dit geld werd verkregen via de verkoop van kippen, eieren, paddenstoelen, bessen, een overgebleven knot garen of een overbodig geworden stuk linnen. Al het andere werd thuis zelf gedaan. Juist door deze verhoudingen, d.w.z. door het feit dat alle dingen die van de boerin werden verlangd thuis werden gedaan en dat daarbij al haar vrije tijd die niet aan de veldarbeid werd besteed opging, wordt in dit geval de buitengemeen langzame ontwikkeling van het kantklosbedrijf in de dorpen van de wolostj Woronowo verklaard. De kant werd voornamelijk geklost door jonge meisjes uit de meer welgestelde of grotere families, die niet voor de noodzaak stonden om alle vrouwelijke familieleden aan het spinnen van vlas en het weven van linnen te zetten. Maar het linnen werd langzamerhand verdrongen door de goedkope katoentjes en andere katoenen stoffen; daar kwamen bovendien nog andere omstandigheden bij: de ene keer wilde het vlas niet goed gedijen, een andere keer wilde de boerenvrouw een katoenen hemd voor haar man en voor zichzelf een mooie sarafaan naaien; en zodoende werd langzamerhand het gebruik om de verschillende linnen stoffen en weefsels voor de boerenkleding thuis te weven verdrongen of tenminste zeer sterk teruggedrongen. Ook de kleding zelf veranderde, ten dele door de verdringing van de thuis geweven stoffen door weefsels die in fabrieken werden vervaardigd...

... Hierdoor wordt verklaard waarom de meerderheid van de bevolking moet streven naar de fabricage van waren voor de verkoop en waarom zij genoodzaakt is om zelfs de kinderen bij deze productie te betrekken.’

Dit onbevooroordeelde verslag van een attente waarnemer toont op aanschouwelijke wijze aan op welke wijze het proces van de maatschappelijke arbeidsverdeling zich onder de massa van onze boeren voltrekt, hoe dit tot de ontwikkeling van de warenproductie [en dus ook van de markt] leidt en hoe deze warenproductie uit zichzelf, d.w.z. juist krachtens de betrekkingen, die zij schept tussen producent en markt, koop en verkoop van de menselijke arbeidskracht laat worden tot een ‘zeer alledaags verschijnsel’.

VIII

Om te besluiten zal het wellicht niet overbodig zijn om het omstreden vraagstuk – dat naar het schijnt reeds al te zwaar belast is met abstracties, schema’s en formules – te illustreren aan de hand van een analyse der beschouwingen van een der nieuwste en meest aanzienlijke vertegenwoordigers van de ‘gebruikelijke voorstellingen’.

Ik heb het nu over de heer Nikolaj-on.[30]

Deze ziet de grootste ‘hinderpaal’ voor de ontwikkeling van het kapitalisme in Rusland in de ‘beperking’ van de binnenlandse markt en in de ‘vermindering’ van de koopkracht der boeren. De kapitalisering van het handwerk – zegt hij – zou de huiselijke productie van gebruiksvoorwerpen hebben verdrongen; de boer zou nu zijn kleding moeten kopen. Om daar het geld voor te verkrijgen zou de boer ertoe zijn overgegaan om meer land te bewerken en zou hij dit areaal als gevolg van een gebrek aan toegewezen grond ver hebben uitgebreid over de grenzen waaraan een verstandig bedrijf gebonden is; hij zou de prijs voor de gepachte grond schandalig omhoog hebben gedreven en zich daardoor tenslotte zelf hebben geruïneerd. Het kapitalisme zou zijn eigen graf hebben gegraven, het zou de ‘nationale economie’ naar de vreselijke crisis van 1891 hebben geleid en... zou tot stilstand zijn gekomen, omdat het geen grond meer onder de voeten had en niet de kracht zou bezitten om ‘dezelfde weg verder te begaan.’ In het bewustzijn dat ‘wij zijn afgeweken van de door de eeuwen geheiligde volksorde’ zouden Rusland nu... beschikkingen van de overheid wachten om de ‘dorpsgemeenschap op te zadelen met de productie op grote schaal.’

Waarin zit hem nu de ongerijmdheid van deze (voor de Russische narodniki ‘eeuwig nieuwe’) theorie?

Misschien in het feit dat de schrijver de betekenis van de ‘productie van productiemiddelen voor productiemiddelen’ niet begrijpt? Natuurlijk niet. De heer Nik-on kent deze wet zeer goed en vermeldt zelfs dat zij ook bij ons aan de dag is getreden (blz. 186, 203/204). Weliswaar vergeet hij, dankzij zijn vaardigheid om zichzelf te verslaan met tegenstellingen, deze wet wel eens (vgl. blz. 123), maar het ligt voor de hand dat een correctie op dergelijke tegenstellingen het belangrijkste (hierboven aangevoerde) argument van de schrijver op geen enkele manier zou corrigeren.

De ongerijmdheid van zijn theorie bestaat in het feit dat hij niet in staat is om ons kapitalisme te verklaren en dat de beschouwingen die hij erover houdt op niets anders berusten dan op ficties.

De ‘boerenstand’, die als gevolg van de verdringing der producten van hun huisarbeid geruïneerd is, wordt door de heer Nik-on beschouwd als iets volkomen homogeens, iets innerlijk solidairs, dat op alle levensverschijnselen reageert als één man.

In werkelijkheid bestaat iets dergelijks natuurlijk helemaal niet. De warenproductie zou in Rusland helemaal niet eens hebben kunnen ontstaan wanneer de productie-eenheden (de boerenbedrijven) niet geïsoleerd van elkaar zouden bestaan; en iedereen weet dat elk van onze boeren in werkelijkheid afzonderlijk en onafhankelijk van de anderen produceert. En dat hij de producten die overgaan tot zijn particuliere eigendom produceert op eigen risico en dat elk afzonderlijk betrekkingen met de ‘markt’ aangaat.

Laten we eens nagaan hoe die dingen er bij de ‘boerenstand’ voor liggen.

‘De boer heeft geld nodig en daarom breidt hij zijn areaal overmatig uit, zodat hij zichzelf ruïneert.’

Maar alleen een welgestelde boer, die zowel zaaigoed als voldoende levende en dode have bezit, kan zijn areaal uitbreiden. Zulke boeren (die naar bekend een minderheid vormen) breiden hun areaal en hun bedrijf uit in zo’n grote mate dat zij het helemaal niet meer kunnen stellen zonder loonarbeiders. Maar de meerderheid van de boeren is helemaal niet in staat om hun behoefte aan geld te dekken door een uitbreiding van hun bedrijf, omdat zij noch voorraden, noch voldoende productiemiddelen bezitten. Zo’n boer gaat uit op ‘bijverdiensten’ om geld te verkrijgen, d.w.z. dat hij niet langer zijn product, maar zijn arbeidskracht naar de markt brengt. De bijverdiensten hebben natuurlijk tot gevolg dat zijn bedrijf er nog slechter aan toe wordt en de zaak eindigt ermee dat deze boer zijn landaandeel verpacht aan een rijk lid van de dorpsgemeenschap, die van zijn kant zijn bedrijf afrondt en het van het gepachte landaandeel behaalde product natuurlijk niet zelf verbruikt, maar naar de markt brengt. Het resultaat is ‘verarming van het volk’, groei van het kapitalisme en uitbreiding van de markt. Maar dat niet alleen. Onze rijke boer, die volledig bezig is met zijn uitgebreide landbouwbedrijf, kan niet langer net als vroeger laat ons zeggen: schoeisel produceren; het is voor hem voordeliger om dat te kopen. Wat de verarmde boer betreft: ook deze is gedwongen om zijn schoeisel te kopen: hij kan het in zijn eigen bedrijf alleen al niet vervaardigen om de eenvoudige reden dat hij geen eigen bedrijf meer heeft. Er ontstaat een vraag naar schoeisel en een aanbod van graan, dat door de bedrijfsboer die de heer W. W. door de progressieve ontwikkeling van zijn bedrijf tot ontroering vermag te brengen, in overvloed geproduceerd is. De buren – de koestaren – die schoeisel produceren bevinden zich in dezelfde positie als pas nog de landbouwboeren: om graan te kunnen kopen, dat door hun zich in neergaande lijn bevindende boerenbedrijf in onvoldoende mate wordt opgeleverd, moeten zij de schoenenproductie uitbreiden. En ook hier wordt de productie natuurlijk alleen maar uitgebreid door de koestar die gespaard heeft, d.w.z. door iemand die tot de minderheid behoort; hij krijgt nu de mogelijkheid om arbeiders in dienst te nemen of thuiswerk te bezorgen aan arme boeren. Maar de meeste koestaren hoeven niet eens te denken aan uitbreiding van hun bedrijf: zij zijn al blij als een rijk geworden opkoper hun ‘werk geeft’, d.w.z. wanneer zij voor hun enige waar – de arbeidskracht – een koper kunnen vinden. Het resultaat is wederom verarming van het volk, groei van het kapitalisme en uitbreiding van de markt. En de verdere ontwikkeling en verdieping van de maatschappelijke arbeidsverdeling krijgt een nieuwe impuls. Waar zal deze beweging tot een einde komen? Dat kan niemand nog zeggen, evenmin als men zou kunnen zeggen waar zij precies is begonnen. En dat is ook niet belangrijk. Belangrijk is het feit dat wij te maken hebben met een levend organisch proces, het proces van de ontwikkeling van de warenhuishouding en van de groei van het kapitalisme. De ‘ontboering’ op het platteland laat ons het begin van dit proces zien, inclusief het ontstaan en de vroege stadia ervan; het grote kapitalisme in de steden laat ons het einde van dit proces en de tendensen ervan zien. Probeert men deze verschijnselen uit hun verband te rukken, probeert men ze afzonderlijk en onafhankelijk van elkaar te beschouwen, dan zal men in zijn beschouwingen niet in staat zijn om tot een zinvol resultaat te komen en dan zal men noch het ene, noch het andere verschijnsel, noch de verarming van het volk, noch de groei van het kapitalisme kunnen verklaren.

En in deze gevallen gaat het nu eenmaal meestal zo: omdat de auteurs van dergelijke beschouwingen zonder begin en zonder einde niet in staat zijn om het proces te verklaren breken zij hun onderzoek maar af met de bewering, dat één van de beide voor hen even onbegrijpelijke verschijnselen [en natuurlijk juist dát verschijnsel, dat in tegenspraak is met ‘het zedelijk ontwikkelde gevoel van de kritisch denkende persoonlijkheid’] ‘onzinnig’ of ‘toevallig’ is en ‘in de lucht hangt’.

Maar in feite zijn het natuurlijk hun eigen beschouwingen die ‘in de lucht hangen’.

_______________
[1] Lenins werk Over het zogenaamde vraagstuk van de markten werd in de herfst van 1893 in Sint-Petersburg geschreven. De belangrijkste stellingen ervan had Lenin oorspronkelijk al uiteengezet tijdens een vergadering van de kring van Petersburgse marxisten (de zogenaamde kring van de ‘grijsaards’) ter gelegenheid van een voordracht van G. B. Krasin, een der leden van de kring. Het werk raakte verbreid onder de sociaaldemocratische kringen van Petersburg en in andere steden en het heeft een belangrijke rol gespeeld in de strijd van de Russische marxisten tegen het narodnikisme en de destijds in Rusland opkomende revisionistische stroming van het zogenoemde ‘legale marxisme’. Later heeft Lenin de belangrijkste conclusies van dit werk verder uitgewerkt in zijn boek De ontwikkeling van het kapitalisme in Rusland.
[2] Het schema van de uitgebreide productie met inachtneming van de technische vooruitgang wordt precies volgens Lenins handschrift weergegeven; de hier en daar voorkomende onnauwkeurigheden in de cijfers hebben geen invloed op de beoordelingen en op de algemene gevolgtrekkingen.
[3] In de rubriek ‘Productiemiddelen voor de consumptiemiddelen’ wordt de hele som I (v+m) opgevoerd, die een deel bevat dat bestemd is voor de accumulatie. Men dient voor ogen te houden dat een deel van de nieuw geschapen waarde in de eerste afdeling zit in de werktuigen en materialen, die geen productiemiddelen vormen voor de tweede afdeling, maar aanvullende productiemiddelen voor de eerste afdeling. Welk deel van de opgevoerde productiemiddelen bestemd is voor de tweede afdeling en welk deel in de eerste afdeling blijft – daarover kan men oordelen volgens de grootte van het constante kapitaal, dat in de loop van het volgende jaar feitelijk functioneert in beide afdelingen.
In Lenins handschrift zijn twee verschrijvingen geslopen, te weten: in de plaats van 31721/2 staat geschreven 3172 en in plaats van 10830-108281/2, hetgeen duidelijk wordt uit het in de tekst opgevoerde schema.
[4] Lenin haalt hier in eigen vertaling uittreksels aan uit het tweede deel van Het kapitaal van Marx (volgens de Duitse uitgave van 1885).
[5] Lenin citeert hier deel I van Het kapitaal (volgens de tweede Duitse uitgave van 1872).
[6] Nik-on of N-on was het pseudoniem van N.F. Daniëlson, een der ideologen van het liberale narodnikisme uit de tachtiger en negentiger jaren. Het hier geciteerde werk van Nik-on heet Opstellen over onze maatschappelijke huishouding van na de hervorming. Met deze ‘hervorming’ wordt de afschaffing van de lijfeigenschap in Rusland (in 1861) bedoeld.
[7] De uitdrukking is afkomstig van Pljoesjkin, een personage uit de Dode zielen van Nikolaj Gogolj. Deze is geworden tot een soortnaam voor pathologisch gierige, oude grootgrondbezitters, die door hun kleinzielige hebzucht hun boeren en hun eigen bedrijf volledig hebben geruïneerd.
[8] Zie: Karl Marx Het kapitaal, deel II, blz. 303, aantekening 32.
[9] W. W. was het pseudoniem van W. P. Worontsow, een van de ideologen van het liberale narodnikisme uit de jaren tachtig en negentig.
[10] Rekenkundige onnauwkeurigheden in de tabel zijn verbeterd. In het handschrift stond per abuis 7014 en 28275 vermeld. Lenin heeft deze verschrijving gecorrigeerd in zijn boek De ontwikkeling van het kapitalisme in Rusland. (Zie deel 3 van de vijfde uitgave van Lenins Verzamelde Werken).
[11] Een rekenkundige onjuistheid werd hier verbeterd. In het handschrift stond per abuis 149703.
[12] Ik wil niet beweren dat een dergelijk verschijnsel als afzonderlijk geval absoluut onmogelijk zou zijn. Maar het gaat hier tenslotte niet om afzonderlijke gevallen, maar om de algemene ontwikkelingswet van de kapitalistische samenleving.
Ter verduidelijking wil ik aan de hand van het schema uiteenzetten wat hiermee bedoeld wordt:
I 4000 c + 1000 v + 1000 m = 6000
II 1500 c + 750 v + 750 m = 3000
I (1000 v + 500 m) = II 1500 c
I 500 m worden geaccumuleerd doordat zij gevoegd worden bij I 4000 c:
I 4500 c + 1000 v + (500 m) = 6000
II 1500 c + 750 v + 750 m = 3000
I 4500 c + 1000 v + 1000 m = 6500
II 1500 c + 750 v + 750 m = 3000
I (1000 v + 500 m) = II 1500 c
I 500 m worden evenals vroeger geaccumuleerd, enz.
[13] Daarom kan de hier uiteengezette conclusie nog iets anders worden geformuleerd: in de kapitalistische samenleving kan groei van de productie (en dus ook van de ‘markt’) optreden hetzij door een vermeerdering van de consumptiemiddelen, of – en zo gebeurt dat ook voornamelijk – door technische vooruitgang, d.w.z. de verdringing van de handenarbeid door machinale arbeid, want de verandering in de verhouding van v ten opzichte van c geeft immers juist uitdrukking aan de dalende betekenis van de handenarbeid.
[14] Dat gaat op dezelfde manier op voor de 5de en de 6de periode.
[15] De ‘koestarindustrie’ was de overwegend op het Russische platteland voorkomende huisindustrie (de vertaler).
[16] Betwistbaar zou dit eigenlijk alleen maar kunnen zijn met betrekking tot de landbouwindustrie. ‘De graanproductie bevindt zich in een situatie van absolute stagnatie’, zegt de heer N-on bijvoorbeeld. Hij steunt bij deze conclusie op de gegevens over slechts 8 jaar (1871-1878). Maar laten we de gegevens over een langere periode eens bekijken: 8 jaar is natuurlijk te weinig. Wij vergelijken de gegevens over de jaren zestig [(Militair-statistisch handboek’, 1870, over de zeventiger jaren (gegevens van N-on) en over de jaren tachtig (‘Informatiebundel over Rusland’, 1890]. De gegevens hebben betrekking op 50 gouvernementen van Europees Rusland en omvatten alle soorten graan, plus aardappelen.

Jaargemiddeldegezaaid
in duizenden ‘tsjetwertj’
geoogst
(na aftrek
van het zaaigoed)
oogstcoëfficiëntbevolking
(in duizenden)
1864-1866
(3 jaar)
71.696.100151.840.1003,1261.421.100
(1867)
1871-1878
(8 jaar)
71.378.99,5195.024.128,43,7376.594.124,7
(1876)
1883-1887
(5 jaar)
80.293.111,9254.914.167,84,1785.395.139,0
(1886)


[17] Vandaar dat men begrijpt dat het fout is om de ontwikkeling van het kapitalisme in te delen in een ontwikkeling in de breedte en een ontwikkeling in de diepte: de gehele ontwikkeling voltrekt zich op dezelfde manier als gevolg van de arbeidsverdeling; een ‘wezenlijk’ verschil tussen deze beide momenten bestaat er niet. Het werkelijke verschil gaat terug tot de verschillende stadia in de technische vooruitgang. De lagere ontwikkelingsstadia van de kapitalistische techniek – de eenvoudige coöperatie en de manufactuur – kennen nog geen productie van productiemiddelen voor productiemiddelen: deze ontstaat en bereikt haar enorme ontwikkeling pas in het hoogste stadium, in de machinale industrie op grote schaal.
[18] Verg. Fr. Engels: ‘De toestand van de arbeidersklasse in Engeland’ van 1844. Het was een toestand van de ergste en smerigste armoede (in de letterlijke zin van het woord) en van het volledige verval van het gevoel van menselijke waardigheid.
[19] Dat wil zeggen: de aflossing van de kleine industriële eenheden door grote en de verdringing van de handenarbeid door de machinale arbeid.
[20] Dat wil zeggen: als hij de betekenis van de productie van productiemiddelen juist had beoordeeld en juist had opgevat.
[21] De boeren zelf hebben dit proces heel treffend ‘ontboering’ genoemd. [Zie ‘Landbouwkundig Overzicht van het Gouvernement Nizjni-Novgorod voor 1892’. Nizjni-Novgorod 1892 aflevering III, blz. 186-187].
[22] Het negeren van dit verschijnsel vormt een van de grootste theoretische fouten van de heer Nikolaj-on.
[23] Inderdaad: 2294 aparte boeren hebben 123.252 desjatienen inzaaiareaal (d.w.z. gemiddeld 53 desjatienen per bezitter). Zij geven werk aan 2662 loonarbeiders (en 234 loonarbeidsters). Aan paarden en ossen bezitten zij meer dan 40.000. Ook zeer veel vervolmaakte werktuigen: zie blz. 453 van de bundel ‘Statistische Gegevens over het District Novo-oezensk’.
[24] In de gouvernementen Samara en Saratov zal deze norm ongeveer anderhalf keer zo klein zijn, omdat de bevolking ter plaatse minder welgesteld is.
[25] In totaal bezitten de boeren van dat district 5724 verbeterde werktuigen.
[26] Die natuurlijk ook berust op uitplundering, maar niet meer op de uitplundering van zelfstandige producenten, maar op die van de arbeiders.
[27] 90.733 desjatienen = 6,3 % van het totale areaal.
[28] De bundel ‘Statistische gegevens over het gouv. Moskou’, afdeling landbouwstatistiek, deel VI aflevering II. De Handwerken van het district Moskou, afl. II, Moskou 1880.
[29] De gegevens over de verdeling van de koeien heb ik weggelaten (zij leiden tot dezelfde conclusie) en de percentages heb ik eraan toegevoegd.
[30] Er kan hier natuurlijk geen sprake zijn van een analyse van het hele boek – daar zou een apart werk voor nodig zijn – maar slechts van de analyse van één van zijn geliefde argumenten.


Zoek knop