Karel Marx
Kapitál, II. díl

Kapitola dvacátá první

Akumulace a rozšířená reprodukce[57]

V knize I jsme ukázali, jak probíhá akumulace u jednotlivého kapitalisty. Přeměnou zbožního kapitálu v peníze přeměňuje se v peníze i nadvýrobek, v němž se zračí nadhodnota. Kapitalista přeměňuje tuto zpeněženou nadhodnotu znovu v dodatečné naturální prvky svého produktivního kapitálu. V příštím koloběhu výroby dodává zvětšený kapitál větší množství výrobku. Avšak to, co se děje s individuálním kapitálem, musí se projevovat i v celkové roční reprodukci, úplně tak, jak jsme to viděli při zkoumání prosté reprodukce, kde je — u individuálního kapitálu — postupné usazování jeho spotřebovaných fixních součástí v penězích, nahromaděných jako poklad, vyjádřeno i v roční společenské reprodukci.

Je-li individuální kapitál = 400c + 100v, roční nadhodnota = 100, je zbožní výrobek = 400c + 100v + 100m. Těchto 600 se přeměňuje v peníze. Z těchto peněz se 400c přeměňuje znovu v naturální formu konstantního kapitálu, 100v v pracovní sílu a — akumuluje-li se celá nadhodnota — přeměňuje se mimo to 100m v dodatečný konstantní kapitál tím, že se směňuje za naturální prvky produktivního kapitálu. Přitom se předpokládá: 1) že tato suma stačí za daných technických podmínek jak k rozšíření fungujícího konstantního kapitálu, tak i k založení nového průmyslového podniku. Může se však také stát, že je nutno přeměnit nadhodnotu v peníze a uschovat tyto peníze jako poklad daleko delší dobu, dříve než se může uskutečnit tento proces, tedy dříve, než může dojít ke skutečné akumulaci, k rozšíření výroby. 2) Předpokládá se, že ve skutečnosti došlo k rozšíření výroby už dříve; neboť aby bylo možno přeměnit peníze (nadhodnotu nahromaděnou v penězích) v prvky produktivního kapitálu, musí se tyto prvky už prodávat na trhu jako zboží; přitom vůbec nezáleží na tom, zda se nekupují jako hotové zboží, nýbrž zhotovují se na objednávku. Platí se za ně, až když jsou dodány, a v každém případě teprve tehdy, když u nich již došlo ke skutečné reprodukci v rozšířeném měřítku, k rozšíření dosud normální výroby. Musely tu být potenciálně, tj. ve svých prvcích, neboť k tomu, aby byly skutečně vyrobeny, bylo zapotřebí jen podnětu objednávky, tj. koupě, která předchází vznik zboží, a anticipace jeho prodeje. Peníze na jedné straně vyvolávají přitom v život rozšířenou reprodukci na druhé straně, poněvadž možnost rozšířené reprodukce je dána už bez peněz, neboť peníze samy o sobě nejsou prvkem, skutečné reprodukce.

Jestliže na př. kapitalista A během roku nebo během několika let prodá množství zbožního výrobku, které postupně vyrobí, přemění tím postupně v peníze také tu část zbožního výrobku, v níž vězí nadhodnota — tj. nadvýrobek — přeměňuje tedy v peníze samu nadhodnotu, kterou vyrobil ve zbožní formě, peníze pozvolna hromadí a tvoří si tak nový potenciální peněžní kapitál; potenciální proto, že je s to být přeměněn a je určen k tomu, aby byl přeměněn v prvky produktivního kapitálu. Ve skutečnosti však kapitalista hromadí jen prostý poklad, což není prvkem skutečné reprodukce. Jeho činnost však přitom záleží především jen v tom, že postupně odnímá obíhající peníze z oběhu, při čemž ovšem není vyloučeno, že obíhající peníze, které tu dává pod zámek, byly — před svým vstupem do oběhu — samy částí jiného pokladu. Tento poklad kapitalisty A, který je potenciálně novým peněžním kapitálem, není dodatečným společenským bohatstvím, jako by jím nebyl, kdyby tyto peníze byly vydány za spotřební předměty. Ale peníze, které byly z oběhu vzaty, tedy byly předtím v oběhu, už mohly dříve ležet jako poklad, jako jeho součást, nebo být peněžní formou mzdy; mohly sloužit k přeměně výrobních prostředků nebo jiných zboží v peníze, k tomu, aby uvedly konstantní část kapitálu nebo důchod kapitalisty do oběhu. Není to nové bohatství, stejně jako peníze, díváme-li se na ně s hlediska prostého zbožního oběhu, jsou nositelem pouze své dané hodnoty, nepředstavují desetinásobnou hodnotu proto, že se obrátily desetkrát za den, že realisovaly deset různých zbožních hodnot. Zboží existují bez peněz, a peníze zůstávají tím, čím jsou (nebo se opotřebováním ještě zmenšují), jak při jednom, tak při deseti obratech. Jen při výrobě zlata se vytváří nové bohatství (potenciální peníze) — pokud zlatý produkt obsahuje nadvýrobek, pokud je nositelem nadhodnoty — a jen pokud celý nový peněžní produkt vstoupí do oběhu, rozmnožuje peněžní materiál potenciálních nových peněžních kapitálů.

Třebaže není dalším novým společenským bohatstvím, představuje tato nadhodnota nahromaděná jako poklad ve formě peněz nový potenciální peněžní kapitál, a to v důsledku funkce, pro kterou se hromadí. (Uvidíme později, že nový peněžní kapitál může vzniknout i jinak než postupnou přeměnou nadhodnoty v peníze.)

Peníze se odnímají z oběhu a shromažďují se jako poklad tím, že se zboží prodává, aniž následuje koupě. Máme-li tedy za to, že se tato operace děje všeobecně, zdá se nepochopitelné, odkud se mají brát kupci, protože v tomto procesu — a musí být chápán jako všeobecný jev, neboť každý individuální kapitál může být ve stadiu akumulace — chce každý prodávat, aby hromadil poklad, a nikdo nechce kupovat.

Kdybychom si představovali, že proces oběhu mezi různými částmi roční reprodukce probíhá v přímce — což by bylo nesprávné, neboť se až na nepatrné výjimky vždy skládá z proti sobě jdoucích pohybů — museli bychom začít výrobcem zlata (resp. stříbra), který kupuje, aniž prodává, a předpokládat, že všichni ostatní mu prodávají. Pak by celkový roční společenský nadvýrobek (který představuje celou nadhodnotu) přešel k němu, a všichni ostatní kapitalisté by si mezi sebe pro rata [poměrně] rozdělili jeho nadvýrobek, který od přírody existuje v penězích a je přirozeným ztělesněním jeho nadhodnoty ve zlatě; neboť ta část produktu výrobce zlata, která má nahradit jeho fungující kapitál, je už vázána a příslušným způsobem využita. Nadhodnota výrobce zlata vyrobená ve zlatě byla by pak jediným fondem, z něhož by všichni ostatní kapitalisté brali materiál k přeměně svého ročního nadvýrobku v peníze. Musela by tedy co do velikosti hodnoty být rovna celé společenské roční nadhodnotě, která se teprve musí zakuklit ve formu pokladu. Při celé své nesmyslnosti by nám tyto předpoklady nic nepomohly, než že by vysvětlily možnost všeobecného současného tvoření pokladů, při čemž by se sama reprodukce, vyjma reprodukci u výrobců zlata, nedostala ani o krok dále.

Dříve než tuto zdánlivou obtíž vyřešíme, musíme rozlišit akumulaci ve skupině I (výroba výrobních prostředků) a ve skupině II (výroba spotřebních předmětů). Začneme skupinou I.

I. Akumulace ve skupině I

1. Tvořeni pokladu

Je jasné, že jak kapitály vložené v četných průmyslových odvětvích, z nichž se skládá I. skupina, tak různé individuální kapitály v každém z těchto průmyslových odvětví podle svého věku, tj. podle toho, jak dlouho trvalo jejich již uplynulé fungování — k jejich velikosti, technickým podmínkám, poměrům trhu atd. vůbec nepřihlížíme — že tyto kapitály jsou na různých stupních postupného přeměňování nadhodnoty v potenciální peněžní kapitál, ať už tento peněžní kapitál má později sloužit ke kterékoli ze dvou forem rozšíření výroby: k zvětšení fungujícího kapitálu nebo k založení nových průmyslových podniků. Jedna část kapitalistů proto neustále přeměňuje svůj potenciální peněžní kapitál, který vzrostl do příslušné velikosti, v produktivní kapitál, tj. za peníze, nahromaděné přeměnou nadhodnoty v peníze, kupuje výrobní prostředky, dodatečné prvky konstantního kapitálu; kdežto druhá část kapitalistů svůj potenciální peněžní kapitál ještě shromažďuje. Kapitalisté těchto dvou kategorií stojí tedy proti sobě; jedni jako kupující, druzí jako prodávající, a přitom každý z jedné z těchto dvou kategorií výhradně v jedné z těchto úloh.

Na př. A prodá B (který může představovat i několik kupců) 600 (= 400c + 100v + 100m). Prodal 600 ve zboží, za 600 v penězích, z nichž 100 představuje nadhodnotu; těchto 100 odnímá z oběhu, hromadí je jako peníze; ale těchto 100 v penězích je jen peněžní formou nadvýrobku, který byl nositelem hodnoty o velikosti 100. Tvoření pokladu není vůbec výroba, tedy především ani přírůstek výroby. Činnost kapitalisty přitom spočívá jen v tom, že odnímá z oběhu, ponechává si a obsazuje peníze, které získal prodejem nadvýrobku v částce 100. K této operaci dochází nejen u A, nýbrž v mnoha bodech na periferii oběhu i u jiných kapitalistů: A‘, A‘‘, A‘‘‘, kteří všichni se stejným úsilím pracují na tomto druhu tvoření pokladu. Tyto četné body, kde se peníze odnímají z oběhu a hromadí se jako četné individuální poklady, resp. jako potenciální peněžní kapitály, se jeví jako právě tak četné překážky oběhu, protože peníze immobilisují a zbavují je na delší či kratší dobu schopnosti obíhat. Je však nutno uvědomit si, že k tvoření pokladu dochází už při prostém zbožním oběhu, dlouho předtím, než se tento oběh začíná uskutečňovat na základě kapitalistické zbožní výroby; a množství peněz, které společnost má, je vždy větší než jejich část, která je v aktivním oběhu, třebaže se tato část podle okolností buď zvětšuje, nebo zmenšuje. Setkáváme se tu opět s týmiž poklady a s týmž tvořením pokladu, ale tentokrát už jako s momentem, který je vlastní kapitalistickému výrobnímu procesu.

Pochopitelné je potěšení, stávají-li se za úvěrové soustavy všechny tyto potenciální kapitály tím, že se soustředily v rukou bank atd., kapitálem, kterým lze disponovat, „loanable capital“ [zápůjční kapitál], peněžním kapitálem, a to nikoli již pasivním, nikoli hudbou budoucnosti, nýbrž aktivním, bujícím kapitálem (bujet[*] zde ve smyslu růstu).

Ale A vytváří takové poklady jen potud, pokud — vzhledem ke svému nadvýrobku — vystupuje jen jako prodavač, aniž nato vystupuje jako kupec. Postupná výroba nadvýrobku — nositele nadhodnoty, která má být přeměněna v peníze — je tedy předpokladem tvoření jeho pokladu. V daném případě, kde zkoumáme oběh jen uvnitř I. skupiny, je naturální forma nadvýrobku, jakož i naturální forma celého výrobku, jehož částí nadvýrobek je, naturální formou jednoho z prvků konstantního kapitálu i, tj. patří do kategorie výrobních prostředků výrobních prostředků. Co z toho vyplývá, tj. k jaké funkci slouží v rukou kupců B, B‘, B‘‘ atd., ihned uvidíme.

Především si však musíme zapamatovat: ačkoli A za svou nadhodnotu odnímá z oběhu peníze a hromadí je jako poklad, vrhá na druhé straně do oběhu zboží, aniž za ně odnímá jiná zboží, čímž se umožňuje B, B‘, B‘‘ atd., aby vrhali do oběhu peníze a za ně z něho odnímali jen zboží. V daném případě vchází toto zboží i co do své naturální formy, i co do svého určení jako fixní nebo oběžný prvek do konstantního kapitálu B, B‘ atd. O tom budeme mluvit podrobněji, až se budeme zabývat kupci nadvýrobku, B, B‘ atd.

*

Poznamenejme zde mimochodem: jako dříve, při zkoumání prosté reprodukce, najdeme zde opět, že směna různých součástí ročního produktu, tj. jejich oběh (který musí zároveň zahrnovat i reprodukci kapitálu, a to jeho znovuvytvoření v jeho různých určenostech: konstantního, variabilního, fixního, oběžného, peněžního kapitálu a zbožního kapitálu) naprosto nepředpokládá pouhou koupi zboží, která je doplňována následujícím prodejem, ani prodej, který je doplňován následující koupí, takže by skutečně docházelo jen ke směně jednoho zboží za jiné zboží, jak se domnívá politická ekonomie, zejména škola svobodného obchodu od dob fysiokratů a Adama Smitha. Víme, že fixní kapitál, jakmile byl výdaj na něj učiněn, není po celou dobu svého fungování obnovován, nýbrž působí dále ve staré formě, zatím co se jeho hodnota pozvolna usazuje v penězích. Viděli jsme, že periodické obnovování IIc (a celá kapitálová hodnota IIc se směňuje za prvky v hodnotě I(v + m) ), předpokládá na jedné straně pouhou koupi fixní části IIc, která se přeměňuje z peněžní formy v naturální formu, při čemž této koupi odpovídá pouhý prodej Im; na druhé straně předpokládá pouhý prodej se strany IIc, prodej té fixní části její hodnoty (hodnoty opotřebované části), která se usazuje v penězích, při čemž tomuto prodeji odpovídá pouhá koupě Im. Aby se tu směna uskutečnila normálně, je nutné předpokládat, že pouhá koupě se strany IIc je co do velikosti hodnoty rovna pouhému prodeji se strany IIc, a rovněž, že pouhý prodej Im skupině IIc, části 1, se rovná pouhé koupi IIc, části 2. (Kap. XX, oddíl 2. Nahrazování fixního kapitálu in natura) Jinak nastává v prosté reprodukci porucha; pouhá koupě na jedné straně se musí krýt pouhým prodejem na druhé straně. Právě tak se zde musí předpokládat, že pouhý prodej části Im, tvořící poklad pro A, A‘, A‘‘ se vyrovnává pouhou koupí části Im se strany B, B‘, B‘‘, kteří přeměňují svůj poklad v prvky dodatečného produktivního kapitálu.

Pokud se rovnováhy dosahuje tím, že kupec potom vystoupí jako prodavač za tutéž sumu hodnoty a naopak, potud dochází k návratu peněz k té straně, která je při koupi zálohovala a která prodala dříve, než opět koupila. Skutečná rovnováha přímo ve směně zboží, ve směně různých částí ročního produktu je však podmíněna tím, že zboží, která se vzájemně směňují, jsou si rovna velikostí hodnoty.

Pokud však dochází jen k jednostranným směnám, k mase pouhých koupí na jedné straně a mase pouhých prodejů na druhé straně — a viděli jsme, že normální směna ročního produktu na kapitalistickém základě podmiňuje takovéto jednostranné metamorfosy — dochází k rovnováze jen za předpokladu, že suma hodnoty jednostranných koupí a suma hodnoty jednostranných prodejů se kryjí. Skutečnost, že zbožní výroba je všeobecnou formou kapitalistické výroby, už zahrnuje úlohu, kterou v ní hrají peníze nejen jako oběživo, nýbrž i jako peněžní kapitál, a vytváří určité, tomuto způsobu výroby vlastní podmínky normální směny, tedy normálního průběhu reprodukce, jak prosté, tak i rozšířené — podmínky, které se přeměňují v právě tak četné podmínky nenormálního průběhu reprodukce, v právě tak četné možnosti krisí, neboť rovnováha — při živelném charakteru této výroby —je sama náhodná.

Viděli jsme rovněž, že při směně Iv za příslušnou sumu hodnoty IIc dochází sice pro IIc nakonec k nahrazení zboží II stejnou sumou hodnoty zboží I, že tedy souhrnný kapitalista II. skupiny později doplňuje prodej vlastního zboží koupí zboží I téže hodnoty. K takovémuto nahrazení dochází; avšak při této přeměně jejich zboží nedochází mezi kapitalisty I a II ke směně. IIc prodává své zboží dělníkům I. skupiny, ti vystupují vůči IIc jednostranně jako kupci zboží a IIc vystupuje vůči dělníkům I jednostranně jako prodavač zboží; s penězi tak nabytými vystupuje IIc vůči souhrnnému kapitalistovi I. skupiny jednostranně jako kupec zboží a ten vůči IIc jednostranně jako prodavač zboží v částce Iv. Jen tímto prodejem zboží reprodukuje I. skupina nakonec svůj variabilní kapitál opět ve formě peněžního kapitálu. Vystupuje-li kapitál skupiny I vůči kapitálu skupiny II jednostranně jako prodavač zboží až do výše Iv, vystupuje vůči dělníkům své skupiny jednostranně jako kupec zboží, který kupuje jejich pracovní sílu; a vystupují-li dělníci I. skupiny vůči kapitalistovi II jednostranně jako kupci zboží (totiž jako kupci životních prostředků), vystupují vůči kapitalistovi I jednostranně jako prodavači zboží, totiž jako prodavači své pracovní síly.

Neustálá nabídka pracovní síly se strany dělníků I. skupiny, zpětná přeměna části zbožního kapitálu I v peněžní formu variabilního kapitálu I, nahrazování části zbožního kapitálu II naturálními prvky konstantního kapitálu IIc — všechny tyto nutné předpoklady se navzájem podmiňují, jsou však zprostředkovány velmi složitým procesem, který zahrnuje tři procesy oběhu, jež probíhají nezávisle na sobě, ale vzájemně se proplétají. Sama složitost procesu dává mnoho podnětů k jeho nenormálnímu průběhu.

2. Dodatečný konstantní kapitál

Nadvýrobek, nositel nadhodnoty, nestojí nic kapitalisty I, kteří si jej přisvojují. Aby jej získali, nemusí v žádné formě zálohovat ani peníze, ani zboží. Záloha (avance) je už u fysiokratů všeobecnou formou hodnoty, uskutečněnou v prvcích produktivního kapitálu. Zálohují tedy jen svůj konstantní a variabilní kapitál. Dělník jim svou prací nejen uchovává konstantní kapitál, nejen jim nahrazuje kapitálovou hodnotu příslušnou nově vytvořenou částí hodnoty ve formě zboží; svou nadprací jim mimo to dodává nadhodnotu, existující ve formě nadvýrobku. Tím, že kapitalisté tento nadvýrobek postupně prodávají, vytvářejí poklad, dodatečný potenciální peněžní kapitál. V případě, který tu zkoumáme, skládá se tento nadvýrobek původně z výrobních prostředků výrobních prostředků. Teprve v rukou B, B‘, B‘‘atd. (I) funguje tento nadvýrobek jako dodatečný konstantní kapitál; ale potenciálně je jím již předtím, než je prodán, již v rukou A, A‘, A‘‘ (I), kteří hromadí poklad. Pokud zkoumáme jen rozsah hodnoty reprodukce na straně I, jsme ještě v mezích prosté reprodukce, protože nebyl uveden do pohybu žádný dodatečný kapitál, aby vytvořil tento potenciální dodatečný konstantní kapitál (nadvýrobek), ani žádné větší množství nadpráce, než to, jež bylo vynaloženo na základě prosté reprodukce. Rozdíl tu spočívá jen ve formě používané nadpráce, v konkretní povaze jejího zvláštního užitečného charakteru. Byla vynaložena na výrobní prostředky pro Ic místo pro IIc, na výrobní prostředky výrobních prostředků místo na výrobní prostředky spotřebních předmětů. Při prosté reprodukci se předpokládalo, že se celá nadhodnota I vydává jako důchod, tedy za zboží II; skládala se tedy jen z takových výrobních prostředků, které měly nahradit konstantní kapitál II v jeho naturální formě. Má-li tedy nastat přechod od prosté reprodukce k rozšířené, musí být výroba ve skupině I s to vytvořit méně prvků konstantního kapitálu pro II, ale právě o tolik více pro I. Tento přechod, který se někdy neobejde bez potíží, ulehčuje to, že některé výrobky I mohou sloužit jako výrobní prostředky v obou skupinách.

Z toho tedy vyplývá — zkoumáme-li otázku jen po stránce velikosti hodnoty — že se v mezích prosté reprodukce vytváří materiální substrát rozšířené reprodukce. Je jím prostě nadpráce dělníků I. skupiny, vynaložená přímo na výrobu výrobních prostředků, na vytvoření potenciálního dodatečného kapitálu I. Tvoření potenciálního dodatečného peněžního kapitálu osobami A, A‘, A‘‘ (I) — postupným prodejem jejich nadvýrobku, který se vytváří bez jakéhokoli kapitalistického vydání peněz — je tu tedy pouhou peněžní formou dodatečně vyrobených výrobních prostředků I.

Výroba potenciálního dodatečného kapitálu tedy v našem případě (neboť, jak uvidíme, může se tvořit i úplně jinak) nevyjadřuje nic jiného než jev výrobního procesu samého: je to výroba v určité formě — výroba prvků produktivního kapitálu.

Výroba dodatečného potenciálního peněžního kapitálu ve velkém měřítku v četných bodech na periferii oběhu — není tedy nic jiného než výsledek a výraz mnohostranné výroby potenciálního dodatečného produktivního kapitálu, jehož vznik sám nepředpokládá žádné dodatečné peněžní výdaje u průmyslových kapitalistů.

Postupná přeměna tohoto potenciálního dodatečného produktivního kapitálu se strany A, A‘, A‘‘ atd. (I) v potenciální peněžní kapitál (poklad), přeměna, která je podmíněna postupným prodejem jejich nadvýrobku — tedy opakovaným jednostranným prodejem zboží bez koupě, která tento prodej doplňuje — se uskutečňuje opakovaným odnímáním peněz z oběhu a odpovídajícím tvořením pokladu. Toto tvoření pokladu — vyjma případ, kdy je kupcem výrobce zlata — vůbec nepředpokládá další bohatství v drahých kovech, nýbrž jen změnu funkce peněz, které dosud obíhaly. Dosud fungovaly jako oběživo, nyní fungují jako poklad, jako vznikající potenciálně nový peněžní kapitál. Tvoření dodatečného peněžního kapitálu a množství drahého kovu, které je v zemi, nejsou tedy spolu v příčinné souvislosti.

Z toho tedy dále vyplývá: čím větší je produktivní kapitál, který již v dané zemi funguje (včetně pracovní síly k němu přivtělené, tvůrkyně nadvýrobku), čím pokročilejší je produktivní síla práce a tím i technické prostředky k rychlému rozšíření výroby výrobních prostředků — tudíž čím větší je masa nadvýrobku jak co do jeho hodnoty, tak i co do množství užitných hodnot, v nichž se tento nad- výrobek zračí, tím větší je:

1) potenciálně dodatečný produktivní kapitál ve formě nadvýrobku u A, A‘, A‘‘ atd. a

2) masa tohoto nadvýrobku přeměněného v peníze, tedy potenciálně dodatečného peněžního kapitálu, u A, A‘, A‘‘. Nechce-li tedy na př. Fullarton ani slyšet o nadvýrobě v obyčejném smyslu, ale připouští nadvýrobu kapitálu, totiž peněžního kapitálu, dokazuje to znovu, že ani nejlepší buržoasní ekonomové z mechanismu své soustavy absolutně ničemu nerozumějí.

Je-li nadvýrobek, jejž přímo vyrábějí a přivlastňují si kapitalisté A, A‘, A‘‘ (I), reálnou základnou skutečné akumulace kapitálu, tj. rozšířené reprodukce, ačkoli v této úloze aktivně funguje až v rukou B, B‘, B‘‘ atd. (I) — je naproti tomu ve svém peněžním zakuklení — jako poklad, jako potenciální peněžní kapitál, který se teprve postupně tvoří — absolutně neproduktivní, a třebaže se v této formě pohybuje souběžně s výrobním procesem, leží mimo něj. Je mrtvou vahou (dead weight) kapitalistické výroby. Dychtění po tom, využít této nadhodnoty nahromaděné ve formě pokladu, jako potenciální peněžní kapitál, k dosažení zisku a důchodu, nachází uspokojení v úvěrové soustavě a v „papírcích“. Peněžní kapitál tím získává v jiné formě nesmírný vliv na průběh a mohutný rozvoj kapitalistického systému výroby.

Množství nadvýrobku přeměněného v potenciální peněžní kapitál bude tím větší, čím větší byla celková suma již fungujícího kapitálu, jehož fungováním tento nadvýrobek vznikl. Při absolutním zvětšování rozsahu ročně reprodukovaného potenciálního peněžního kapitálu je však také snazší jeho segmentace, takže může být rychleji vložen do zvláštního podniku buď téhož kapitalisty, nebo jiného (na př. členů jeho rodiny, při rozdělování dědictví atd.). Segmentace peněžního kapitálu se tu chápe v tom smyslu, že se tento kapitál úplně odděluje od kmenového kapitálu, aby byl jako nový peněžní kapitál umístěn v novém samostatném podniku.

Jestliže prodavači nadvýrobku A, A‘, A‘‘ atd. (I) dostali tento nadvýrobek jako přímý výsledek výrobního procesu, který kromě zálohování konstantního a variabilního kapitálu, jehož je zapotřebí i při prosté reprodukci, nepředpokládá žádné další akty oběhu, jestliže tím tak dále vytvářejí reálnou základnu pro reprodukci v rozšířeném měřítku a vyrábějí ve skutečnosti potenciálně dodatečný kapitál, je naproti tomu postavení B, B‘, B‘‘ atd. (I) jiné. 1) Až v jejich rukou bude nadvýrobek A, A‘, A‘‘ atd. fungovat aktivně jako dodatečný konstantní kapitál (druhý prvek produktivního kapitálu, dodatečnou pracovní sílu, tedy dodatečný variabilní kapitál, ponecháváme prozatím stranou); 2) aby se nadvýrobek dostal do jejich rukou, je zapotřebí aktu oběhu. A, A‘, A‘‘ musí tento nadvýrobek koupit.

K bodu 1) je třeba poznamenat, že velká část nadvýrobku (potenciálně dodatečného konstantního kapitálu), vyrobeného A, A‘, A‘‘ (I), je sice vyrobena v tomto roce, ale může u B, B‘, B‘‘ (I) aktivně fungovat jako průmyslový kapitál až příští rok nebo ještě později; u bodu 2) je otázka, odkud se berou peníze nutné k procesu oběhu?

Pokud výrobky, které vyrábí B, B‘, B‘‘ atd. (I), samy opět vcházejí in natura do jejich výrobního procesu, je samozřejmé, že se část jejich vlastního nadvýrobku pro tanto přenáší přímo (bez prostřednictví oběhu) do jejich produktivního kapitálu a vchází do něho jako dodatečný prvek konstantního kapitálu. Avšak pro tanto nenapomáhají také přeměně nadvýrobku A, A‘ atd. (I) v peníze. Ale přesto, odkud se berou peníze? Víme, že si B, B‘, B‘‘ atd. (I) vytvořili poklad jako A, A‘ atd. prodejem svých příslušných nadvýrobků a nyní dospěli k okamžiku, kdy má jejich jen potenciální peněžní kapitál, nahromaděný jako poklad, skutečně začít fungovat jako dodatečný peněžní kapitál. Ale tak chodíme jen kolem dokola. Pořád je otázka, odkud se berou peníze, které byly dříve odňaty z oběhu a nahromaděny kapitalisty B (I).

Víme však již ze zkoumání prosté reprodukce, že v rukou kapitalistů I a II musí být určité množství peněz, aby mohlo dojít k přeměně jejich nadvýrobku. Peníze, které sloužily jen jako důchod k výdaji na spotřební předměty, vracely se tam kapitalistům tou měrou, jak je kapitalisté zálohovali na směnu svých příslušných zboží; zde se opět objevují tytéž peníze, ale jejich funkce se změnila. Kapitalisté A a B (I) si střídavě dávají peníze na přeměnu nadvýrobku v dodatečný potenciální peněžní kapitál a střídavě vrhají nově vytvořený peněžní kapitál jako kupní prostředek zpět do oběhu.

Jediné, co při tom předpokládáme, je, že množství peněz, které jsou v zemi (za předpokladu, že rychlost oběhu aj. je nezměněna), stačí jak pro aktivní oběh, tak k tvoření reservního pokladu; je to tedy týž předpoklad, který, jak jsme viděli, musí být splněn i při prostém zbožním oběhu. Jen funkce pokladu je tu jiná. Také dané množství peněz musí být větší: 1) proto, že za kapitalistické výroby se každý výrobek (výjimkou jsou nově vyrobené drahé kovy a nemnoho výrobků spotřebovaných výrobcem samým) vyrábí jako zboží, musí tedy prodělat zakuklení v peníze; 2) protože na kapitalistickém základě je masa zbožního kapitálu a velikost jeho hodnoty nejen absolutně větší, nýbrž i nesrovnatelně rychleji roste; 3) stále se zvětšující variabilní kapitál se musí neustále přeměňovat v peněžní kapitál; 4) protože s rozšiřováním výroby jde souběžně tvoření nových peněžních kapitálů, musí tu tedy být i materiál k jejich hromadění ve formě pokladu. — Platí-li to v každém případě pro první fázi kapitalistické výroby, kde je také úvěrová soustava provázena zejména kovovým oběhem, platí to i pro nejvyvinutější fázi úvěrové soustavy, pokud kovový oběh zůstává její základnou. Na jedné straně může tu další výroba drahých kovů, pokud je střídavě vydatná nebo skrovná, působit rušivě na ceny zboží nejen během delších, nýbrž i během velmi krátkých období; na druhé straně usiluje celý úvěrový mechanismus neustále o to, aby různými operacemi, metodami, technickým zařízením omezil skutečný kovový oběh na relativně stále se zmenšující minimum — čímž také ve stejném poměru vzrůstá umělost celého mechanismu a rostou vyhlídky na poruchy jeho normálního chodu.

Různí B, B‘, B‘‘ atd. (I), jejichž potenciální nový peněžní kapitál zahajuje činnost, mohou své výrobky (části svého nadvýrobku) od sebe navzájem kupovat a navzájem si prodávat. Při normálním průběhu se peníze zálohované na oběh nadvýrobku pro tanto vracejí k různým B v téže proporci, v níž je každý z nich na oběh svých příslušných zboží zálohoval. Obíhají-li peníze jako platidlo, musí se platit jen bilance, pokud se vzájemné koupě a prodeje nekryjí. Ale je důležité všude, jak to tu činíme, předpokládat nejprve kovový oběh v jeho nejprostší, nejpůvodnější formě, protože tím odliv a příliv peněz, vyrovnávání bilancí, prostě všechny momenty, které se v úvěrové soustavě jeví jako vědomě regulované akty, vystupují jako nezávislé na úvěrové soustavě a celá věc se jeví ve své ještě nevyvinuté formě, nikoli ve své pozdější reflektované formě.

3. Dodatečný variabilní kapitál

Zabývali jsme se dosud jen dodatečným konstantním kapitálem a nyní přejdeme ke zkoumání dodatečného variabilního kapitálu.

V knize I jsme podrobně vyložili, jak je pracovní síla za kapitalistické výroby vždy v zásobě a jak se může, je-li třeba, uvést do pohybu více práce, aniž se zvýší počet zaměstnaných dělníků čili množství pracovní síly. Není tedy třeba dále se tím zabývat, naopak, musíme předpokládat, že část nově vytvořeného peněžního kapitálu, která se má přeměnit ve variabilní kapitál, najde vždy pracovní sílu, v niž se má přeměnit. V knize I bylo rovněž vyloženo, jak daný kapitál může bez akumulace v určitých mezích rozšiřovat rozsah své výroby. Ale zde jde o akumulaci kapitálu ve specifickém smyslu, takže rozšíření výroby je podmíněno přeměnou nadhodnoty v dodatečný kapitál, tedy také zvětšením kapitálu, který je základem výroby.

Výrobce zlata může část své zlaté nadhodnoty akumulovat jako potenciální peněžní kapitál; jakmile tento kapitál dosáhne nutné velikosti, může jej přeměnit přímo v nový variabilní kapitál, a nemusí k tomu napřed prodat svůj nadvýrobek; právě tak jej může přeměnit v prvky konstantního kapitálu. Ale v tomto posledním případě musí tyto věcné prvky svého konstantního kapitálu najít, při čemž nezáleží na tom, zda každý výrobce pracuje na sklad, jak jsme předpokládali v předcházejícím výkladu, a pak přináší svá hotová zboží na trh, nebo zda pracuje na objednávku. V obou případech se předpokládá reálné rozšíření výroby, tj. předpokládá se nadvýrobek, který tu v prvním případě skutečně je, v druhém případě pak existuje potenciálně, může být dodán.

I. Akumulace ve skupině II

Dosud jsme předpokládali, že A, A‘, A‘‘ (I) prodají svůj nadvýrobek B, B‘, B‘‘ atd., kteří patří do téže skupiny I. Ale dejme tomu, že A (I) přemění svůj nadvýrobek v peníze tím, že jej prodá nějakému B ze skupiny II. To se může stát jen tím, že A (I) prodal B (II) výrobní prostředky, ale nekoupí pak spotřební předměty, tedy jen jednostranným prodejem s jeho strany. Přeměňuje-li se IIc z formy zbožního kapitálu v naturální formu produktivního konstantního kapitálu jen tím, že se nejen Iv, nýbrž i alespoň nějaká část Im směňuje za část IIc existujícího ve formě spotřebních předmětů; přeměňuje-li však nyní A své Im v peníze jen tím, že k této směně nedochází, nýbrž naopak A peníze utržené od II prodejem svého Im odnímá z oběhu, místo aby jich použil na nákup spotřebních předmětů IIc — pak sice na straně A (I) dochází k tvoření dodatečného potenciálního peněžního kapitálu, ale na druhé straně je část konstantního kapitálu B (II), stejná co do velikosti hodnoty, vázána ve formě zbožního kapitálu a nemůže se přeměnit v naturální formu produktivního konstantního kapitálu. Jinak řečeno: část zboží B (II), a to prima facie [na první pohled] ta část, bez jejíhož prodeje nemůže B (II) přeměnit celý svůj konstantní kapitál opět v produktivní formu, se stala neprodejnou; pokud jde o ni, dochází tedy k nadvýrobě, která rovněž u ní ztěžuje reprodukci — dokonce reprodukci v nezměněném měřítku.

Ačkoli v tomto případě je tedy dodatečný potenciální peněžní kapitál na straně A (I) nadvýrobkem (nadhodnotou), který přijal formu peněz, představuje tu nadvýrobek (nadhodnota), zkoumán jako takový, jev prosté reprodukce, ale ještě ne reprodukce v rozšířeném měřítku. I(v + m), pro něž platí to, co jsme řekli, v každém případě o části m, musí se nakonec směnit za IIc, aby mohla reprodukce II probíhat v nezměněném rozsahu. A (I) dodal B (II) tím, že mu prodal svůj nadvýrobek, příslušnou část hodnoty konstantního kapitálu v naturální formě, ale zároveň tím, že odňal peníze z oběhu a nedoplnil svůj prodej následující koupí, znemožnil prodej části zboží B (II) stejné hodnoty. Máme-li tedy na paměti celkovou společenskou reprodukci — která stejnou měrou zahrnuje kapitalisty I. i II. skupiny — vyjadřuje přeměna nadvýrobku A (I) v potenciální peněžní kapitál nemožnost zpětné přeměny zbožního kapitálu B (II), stejného co do velikosti hodnoty, v produktivní (konstantní) kapitál; nevyjadřuje tedy možnost výroby v rozšířeném měřítku, nýbrž poruchu prosté reprodukce, tedy deficit v prosté reprodukci. Protože tvoření a prodej nadvýrobku A (I) jsou samy normálními jevy prosté reprodukce, máme tu už na základě prosté reprodukce tyto navzájem se podmiňující jevy: tvoření potenciálně dodatečného peněžního kapitálu u skupiny I (tudíž podspotřebu s hlediska II); váznutí zásob zboží u třídy II, které nemohou být zpětně přeměněny v produktivní kapitál (tedy relativní nadvýrobu u II); přebytek peněžního kapitálu u I a deficit v reprodukci u II.

Aniž se u tohoto bodu déle zdržíme, poznamenáme jen: při líčení prosté reprodukce se předpokládalo, že se celá nadhodnota I. a II. skupiny vydává jako důchod. Ve skutečnosti se však jedna část nadhodnoty vydává jako důchod a druhá část se přeměňuje v kapitál. Jen za tohoto předpokladu dochází ke skutečné akumulaci. Předpoklad, že se akumulace uskutečňuje na účet spotřeby, chápán v takovéto všeobecné formě,je sám o sobě ilusí, která odporuje podstatě kapitalistické výroby, neboť tato iluse předpokládá, že účelem a hybným motivem kapitalistické výroby je spotřeba, a ne získání nadhodnoty a její kapitalisace, tj. akumulace.

*

Prozkoumejme nyní akumulaci ve skupině II poněkud blíže.

První obtíž, pokud jde o IIc, tj. o jeho zpětnou přeměnu ze součásti zbožního kapitálu II v naturální formu konstantního kapitálu II, se týká prosté reprodukce. Vezměme dřívější schema:

(1000v + 1000m) I se směňuje za

2000 IIc.

1000

Je-li pak na pr. polovina nadvýrobku I, tedy 1000/2m čili 500 Im znovu včleněno jako konstantní kapitál do skupiny I, nemůže tato část nadvýrobku zadržená v I nahradit žádnou část IIc. Místo aby se přeměnila ve spotřební předměty (a zde v této skupině oběhu — na rozdíl od nahrazení 1000 IIc 1000 Iv, zprostředkovaného dělníky I — dochází mezi I a II ke skutečné vzájemné směně, tedy k oboustrannému přemístění zboží), má tato část posloužit jako dodatečný výrobní prostředek přímo ve skupině I. Nemůže tuto funkci plnit zároveň v I a II. Kapitalista nemůže hodnotu svého nadvýrobku vydat za spotřební předměty a zároveň nadvýrobek sám spotřebovat produktivně, tj. včlenit jej do svého produktivního kapitálu. Místo 2000 I(v + m) je tedy směnitelných za 2000 IIc jen 1500, totiž (1000v + 500m) I; 500 IIc se tedy nedá ze své zbožní formy přeměnit v produktivní (konstantní) kapitál II. Došlo by tedy ve II k nadvýrobě, jejíž rozsah by přesně odpovídal rozsahu rozšíření výroby, k němuž došlo v I. Je možné, že nadvýroba v II by se tak silně odrazila v I, že by se dokonce 1000, který vydali dělníci I. skupiny na spotřební předměty II, vrátil zpět jen zčásti, že by se tedy tento 1000 nevrátil ve formě variabilního peněžního kapitálu do rukou kapitalistů I. Těmto kapitalistům by tak byla ztížena i reprodukce v dosavadním měřítku, a to pouhým pokusem rozšířit ji. A přitom je třeba uvážit, že v I došlo fakticky jen k prosté reprodukci a že její prvky, jak jsou uvedeny v našem schematu, jsou za účelem budoucího rozšíření, na př. v příštím roce, jen jinak seskupeny.

Mohli bychom zkusit vyhnout se této obtíži takto: 500 IIc, které leží ve skladištích kapitalistů a nedají se bezprostředně přeměnit v produktivní kapitál, mají daleko k nadvýrobě, ba naopak představují nutný prvek reprodukce, ke kterému jsme dosud nepřihlíželi. Viděli jsme, že se v mnoha bodech musí hromadit peněžní zásoba, že se tedy musí brát z oběhu peníze jednak proto, aby umožňovaly tvoření nového peněžního kapitálu ve skupině I samé, jednak proto, aby se hodnota postupně spotřebovávaného fixního kapitálu přechodně uchovávala v peněžní formě. Protože se však při sestavování našeho schematu předpokládá, že všechny peníze a všechna zboží jsou předem výhradně v rukou kapitalistů I a II, a poněvadž přitom neexistují ani obchodníci, ani obchodníci s penězi, ani bankéři, ani třídy, které jen spotřebovávají a neúčastní se přímo výroby zboží, je k tomu, aby se mechanismus reprodukce udržel v chodu, zapotřebí neustálého tvoření zásob zboží, zde u jeho příslušných výrobců samých. 500 IIc, které leží ve skladech kapitalistů II, představují tedy zbožní zásobu spotřebních předmětů, která zajišťuje nepřetržitost spotřebního procesu zahrnutého do reprodukce, zde tedy zajišťuje přechod z jednoho roku do druhého. Spotřební fond, který je tu ještě v rukou svých prodavačů a zároveň výrobců, nemůže tento rok klesnout na nulu a příští rok začít od nuly stejně jako tomu tak nemůže být při přechodu z dneška na zítřek. Protože se takové zásoby zboží musí tvořit neustále znovu, i když se jejich rozsah mění, musí mít naši kapitalističtí výrobci II reservní peněžní kapitál, který by jim umožňoval, aby neustále pokračovali ve svém výrobním procesu, třebaže se část jejich produktivního kapitálu přechodně zdržuje ve zbožní formě. Vždyť ve svých rukou podle předpokladu spojují celý obchod s výrobou; musí tedy také mít dodatečný peněžní kapitál, který bude po osamostatnění jednotlivých funkcí reprodukčního procesu ve funkce různých kategorií kapitalistů v rukou obchodníků.

Na to lze namítnout: 1) Takové tvoření zásob a jeho nutnost platí pro všechny kapitalisty, pro kapitalisty I. i II. skupiny. Díváme-li se na ně jako na pouhé prodavače zboží, liší se od sebe jen tím, že prodávají zboží různého druhu. Zásoba zboží u II předpokládá předtím zásobu zboží u I. Nepřihlížíme-li k této zásobě na jedné straně, nesmíme k ní přihlížet ani na druhé straně. Počítáme-li s ní však na obou stranách, nemění to nic na problému. — 2) Tak jako tento rok končí ve II zásobou zboží na příští rok, tak začal v téže skupině II zásobou zboží převzatou z minulého roku. Při rozboru roční reprodukce, převedené na její abstraktní výraz, musíme tedy zásobu zboží na obou stranách škrtnout. Budeme-li celou výrobu vztahovat k běžnému roku, tedy také tu část, kterou předává jako zásobu zboží příštímu roku, ale odečteme-li z něho na druhé straně zásobu zboží, kterou dostal od minulého roku, dostaneme tím ve skutečnosti jako předmět našeho rozboru průměrný celkový roční produkt. — 3) Prostá okolnost, že jsme na obtíž, kterou je třeba překonat, nenarazili při rozboru prosté reprodukce, dokazuje, že tu jde o specifický jev, který vzniká jen při jiném seskupení (vzhledem k reprodukci) prvků I: při změněném seskupení, bez něhož by vůbec nemohlo docházet k reprodukci v rozšířeném měřítku.

III. Schematické znázornění akumulace

Prozkoumáme nyní reprodukci podle tohoto schematu:

Schema a) vzorec úhrn = 8252. Vidíme především, že celková suma ročního společenského výrobku = 8252 je menší než v prvním schematu, kde byla = 9000. Mohli bychom úplně stejně vzít mnohem větší sumu, mohli bychom ji třeba zdesateronásobit. Zvolili jsme menší sumu než ve schematu I právě proto, abychom názorně ukázali, že reprodukce v rozšířeném měřítku (kterou tu chápeme jen jako výrobu provozovanou s větším kapitálem) nemá nic společného s absolutní velikostí výrobku, že pro danou masu zboží předpokládá jen jiné seskupení čili jiné funkční určení různých prvků daného výrobku, je tedy co do velikosti hodnoty zprvu jen prostou reprodukcí. Nemění se kvantita, nýbrž kvalitativní určení daných prvků prosté reprodukce, a tato změna je materiálním předpokladem reprodukce v rozšířeném měřítku, která následuje později[58].

Při jiném poměru mezi variabilním a konstantním kapitálem bychom mohli toto schema zobrazit jinak; na př. takto:

Schema b) vzorec úhrn = 8252.Kdyby schema vypadalo takto, zdálo by se, že je sestaveno pro prostou reprodukci, tak jako by se celá nadhodnota vydávala jako důchod a neakumulovala se. V obou případech, a) i b), máme roční výrobek stejné velikosti hodnoty, jenže v případě b) s takovým seskupením funkcí jeho prvků, že reprodukce začne znovu v témž měřítku, kdežto v případě a) se vytváří hmotný základ k reprodukci v rozšířeném měřítku. Ve schematu b) se totiž (875v + 875m) I = 1750 I(v + m) směňuje beze zbytku za 1750 IIc, kdežto ve schematu a) zbývá po směně (1000v + 1000m) I = 2000 I(v + m) za 1500 IIc přebytek 500 Im pro akumulaci v I. skupině.

Přejdeme nyní k bližšímu rozboru schematu a). Předpokládejme, že jak v I, tak i v II se polovina nadhodnoty nevydává jako důchod, nýbrž akumuluje se, tj. přeměňuje v prvek dodatečného kapitálu. Protože polovina 1000 Im = 500 má být v té či oné formě akumulována, použita jako dodatečný peněžní kapitál, tj. přeměněna v dodatečný produktivní kapitál, vydá se jako důchod jen (1000v + 500m) I. Jako normální velikost IIc tu proto opět vystupuje jen 1500. Směnu mezi 1500 I(v + m) a 1500 IIc nemusíme dále zkoumat, protože jako proces prosté reprodukce už byla vylíčena; právě tak není třeba zkoumat 4000 Ic, poněvadž jejich nové rozmístění pro znovu začínající reprodukci (tentokrát v rozšířeném měřítku) jsme už rovněž probrali jako proces prosté reprodukce.

Zbývá nám tu tedy prozkoumat jen: 500 Im a (376v + 376m) II, jednak, pokud přicházejí v úvahu, vnitřní poměry v I a II, jednak pohyb mezi nimi oběma. Protože se předpokládá, že ve II se má rovněž polovina nadhodnoty akumulovat, musí se tu v kapitál přeměnit 188, z toho 1/4 = 47, pro zaokrouhlení řekněme 48, ve variabilní kapitál; zbývajících 140 se musí přeměnit v konstantní kapitál.

Narážíme tu na nový problém, jehož pouhá existence se musí zdát podivná běžnému názoru, podle něhož se zboží jednoho druhu směňuje za zboží jiného druhu nebo, což je totéž, zboží za peníze a tyto peníze opět za zboží jiného druhu. Oněch 140 IIm se může přeměnit v produktivní kapitál jen proto, že se nahrazují částí zboží Im téže hodnoty. Je samozřejmé, že se část Im, jež má být směněna za IIm, musí skládat z výrobních prostředků, které mohou vejít jak do výroby I, tak i do výroby II anebo výhradně jen do výroby II. K tomuto nahrazení však může dojít jen jednostrannou koupí se strany II, neboť celý nadvýrobek 500 Im, který nám ještě zbývá prozkoumat, má sloužit k akumulaci uvnitř I, tedy nemůže být směněn za zboží II; jinak řečeno, I jej nemůže zároveň akumulovat i sníst. II tedy musí koupit 140 Im za hotové peníze, aniž se jí tyto peníze vrátí tím, že pak prodá své zboží I. skupině. A tento proces se ustavičně opakuje při každé nové roční výrobě, pokud je to reprodukce v rozšířeném měřítku. Kde na to II bere peníze?

II se naopak zdá naprosto neplodnou půdou pro tvoření nového peněžního kapitálu, které provází skutečnou akumulaci a za kapitalistické výroby ji podmiňuje, při čemž se toto tvoření nového peněžního kapitálu zprvu fakticky jeví jako prosté tvoření pokladu.

Zprvu před sebou máme 376 IIv peněžní kapitál 376 zálohovaný na pracovní sílu se vrací nákupem zboží II neustále jako variabilní kapitál v peněžní formě ke kapitalistovi II. To, že se peníze neustále znovu vzdalují od svého výchozího bodu — kapsy kapitalisty — a opět se k němu vracejí, nikterak nezvětšuje množství peněz probíhajících tímto koloběhem. Není to tedy zdroj akumulace peněz; tyto peníze také nemohou být z tohoto oběhu vzaty, aby tvořily potenciálně nový peněžní kapitál, nahromaděný jako poklad.

Ale počkejte, nedá se tu něco vydělat?

Nesmíme zapomínat, že II. skupina má před I. skupinou tu výhodu, že dělníci v ní zaměstnaní musí od ní opět kupovat zboží, které sami vyrobili. Skupina II je tedy kupcem pracovní síly a zároveň prodavačem zboží majitelům pracovní síly používané v této skupině. Skupina II tedy může:

1) — a to má společné s kapitalisty I. skupiny — prostě snížit mzdu pod její normální průměr. Tím se uvolňuje část peněz, které fungovaly jako peněžní forma variabilního kapitálu, a to by se při neustálém opakování tohoto procesu mohlo stát normálním zdrojem tvoření pokladu, a tedy i zdrojem pro tvoření potenciálně dodatečného peněžního kapitálu ve II. skupině. S náhodným podvodným ziskem ovšem zde, kde jde o normální tvoření kapitálu, nepočítáme. Nesmíme však zapomínat, že skutečně placená normální mzda (která ceteris paribus [za jinak stejných podmínek] určuje velikost variabilního kapitálu) naprosto není placena z dobré vůle kapitalistů, nýbrž za daných poměrů musí být placena. Tento způsob vysvětlení tedy odpadá. Předpokládáme-li, že variabilní kapitál, který musí II. skupina vydat, činí 376v, nesmíme proto, abychom vysvětlili nově vyvstalý problém, najednou podstrčit domněnku, že II zálohuje jen 350v, a ne 376v.

2) Ale na druhé straně má II. skupina, vzata jako celek, jak už jsme řekli, tu výhodu před skupinou I, že je kupcem pracovní síly a zároveň prodavačem svých zboží svým vlastním dělníkům. O tom, jak se dá této výhody využít — jak se může nominálně vyplácet normální mzda, zatím co se z ní ve skutečnosti část uštípne bez příslušného ekvivalentu ve zboží, jinak řečeno dělníci se o ni okrádají; jak se toho dá dosáhnout jednak truckovým systémem, jednak falšováním (třebaže legálně nepostižitelným) oběživa — o tom existují v každé průmyslové zemi, na př. v Anglii a ve Spojených státech, velmi pádné důkazy. (Uvést o tom několik vhodných příkladů.) Je to táž operace jako pod 1), jenže zastřená a provedená oklikou. Musíme ji tedy odmítnout stejně jako tamtu. Jde tu o mzdu placenou skutečně, nikoli nominálně.

Vidíme, že při objektivním rozboru kapitalistického mechanismu není zapotřebí používat jeho určitých mimořádných hanebných zjevů za záminku k odstranění theoretických obtíží. Ale ku podivu většina mých buržoasních kritiků křičí, že prý jsem na př. v I. knize „Kapitálu“ svým předpokladem, že kapitalista platí skutečnou hodnotu pracovní síly — což většinou nečiní — tomuto kapitalistovi ukřivdil! (Zde může být s velkodušností, která se mi připisuje, citován Schäffle.)

S 376 IIv nelze tedy zmíněného cíle dosáhnout.

Ale zdá se, že s 376 IIm je to ještě horší. Zde proti sobě stojí jen kapitalisté téže skupiny, kteří si navzájem prodávají a od sebe kupují spotřební předměty, jež vyrobili. Peníze nutné k této směně fungují při tom jen jako oběživo a při normálním průběhu se musí vrátit k zúčastněným v té míře, jak je zálohovali, a pak stále znovu probíhat touž drahou.

Zdá se, že vzít tyto peníze z oběhu a vytvořit z nich potenciálně dodatečný peněžní kapitál je možné jen dvojím způsobem. Buď jedna část kapitalistů II napálí jiné a tak peníze naloupí. Jak víme, není k vytvoření nového peněžního kapitálu zapotřebí, aby se před tím zvětšilo množství oběživa; není k tomu zapotřebí nic jiného, než aby byly peníze na určitých místech vzaty oběhu a nahromaděny jako poklad. To, že peníze mohou být ukradeny, a že tedy tvoření dodatečného peněžního kapitálu u jedné části kapitalistů II může být spojeno s přímou ztrátou peněz u druhé části, se věci nijak netýká. Napálená část kapitalistů II by musela žít poněkud méně rozmařile, to je vše.

Anebo se část IIm, zračící se v nutných životních prostředcích, přeměňuje přímo v nový variabilní kapitál uvnitř skupiny II. Jak se to děje, budeme zkoumat na konci této kapitoly (pod č. IV).

1. První příklad

A) Schema prosté reprodukce

viz str. 532 úhrn = 9000.

B) Výchozí schema akumulace v rozšířeném měřítku

viz str. 352 a úhrn = 9000.

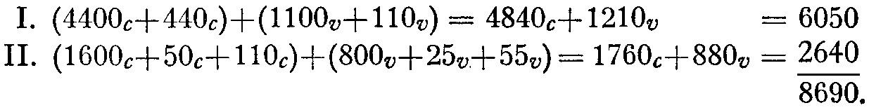
Vyjdeme-li z předpokladu, že ve schematu B se polovina nadhodnoty I, tj. 500, akumuluje, vyjde nám především, že (1000v + 500m) I čili 1500 I(v + m) musí být nahrazeno 1500 IIc; v I pak zbývá 4000c + 500m, z nichž 500m se má akumulovat. Nahrazení (1000v + 500m) I 1500 IIc je proces prosté reprodukce a byl už vyložen při jejím zkoumání.

Dejme tomu, že 400 z 500 Im se mají přeměnit v konstantní kapitál, 100 ve variabilní kapitál. Směnu oněch 400m, které se tak mají uvnitř I kapitalisovat, jsme už probírali; těchto 400m může tedy být bez dalšího uvažování připojeno k Ic a pak dostaneme pro I:

4400c + 1000v + 100m (které se mají směnit za 100v).

II pak koupí za účelem akumulace od I oněch 100 Im (existujících ve výrobních prostředcích), které jsou nyní dodatečným konstantním kapitálem II, zatím co 100 v penězích, které II za tyto výrobní prostředky zaplatila, přemění se v peněžní formu dodatečného variabilního kapitálu I. Máme pak pro I kapitál 4400c + 1100v (ty v penězích) = 5500.

II má nyní na konstantní kapitál 1600c; aby jej zpracovala, musí přidat ještě 50v v penězích na nákup nové pracovní síly, takže její variabilní kapitál vzroste ze 750 na 800. Toto rozšíření konstantního i variabilního kapitálu II. skupiny dohromady o 150 se kryje z její nadhodnoty;ze 750 IIm zůstává tedy jen 600m jako spotřební fond kapitalistů II, jejichž roční produkt se nyní rozděluje takto:

II. 1600c + 800v + 60m (spotřební fond) = 3000.

150m, vyrobených ve spotřebních předmětech a směněných zde za (100c + 50v) II, vchází ve své naturální formě zcela do spotřeby dělníků: 100 spotřebují dělníci I (100 Iv) a 50 dělníci II (50 IIv), jak jsme ukázali výše. Ve skutečnosti ve II, jejíž celkový produkt se zhotovuje ve formě nutné k akumulaci, musí být o 100 větší část nadhodnoty reprodukována ve formě nutných spotřebních předmětů. Začne-li skutečně reprodukce v rozšířeném měřítku, vrací se těchto 100 variabilního peněžního kapitálu I přes dělníky této skupiny k II; naproti tomu II předává 100m v zásobě zboží skupině I a zároveň 50 v zásobě zboží svým vlastním dělníkům.

Seskupení, změněné pro účel akumulace, vypadá nyní takto:

viz str. 533

Z toho je kapitálem:

viz str. 533

Kdežto na začátku výroby bylo:

viz str. 533

Dochází-li nyní ke skutečné akumulaci na tomto základě, tj. vyrábí-li se skutečně s tímto zvětšeným kapitálem, dostaneme na konci příštího roku:

viz str. 533

Dejme tomu, že v I pokračuje akumulace v téže proporci; 550m se tedy vydá jako důchod a 550m bude akumulováno. Především pak bude 1100 Iv nahrazeno 1100 IIc; dále musí být realisováno ještě 550 Im ve zboží II stejné hodnoty, tj. dohromady 1650 I(v + m). Ale konstantní kapitál II, který má být nahrazen, činí jen 1600, zbývajících 50 musí tedy být doplněno z 800 IIm. Ponecháme-li zatím stranou peníze, máme jako výsledek této transakce toto:

I. 4400c + 550m (které je nutno kapitalisovat); mimo to ve spotřebním fondu kapitalistů a dělníků 1 650(v + m), realisovaných ve zbožích IIc.

II. 1650c (z toho 50 přidáno z IIm, jak bylo řečeno výše) + 800v + 750m (spotřební fond kapitalistů).

Zůstane-li však v II starý poměr mezi v a c, musí být na 50c vydáno ještě 25v; ty se mohou vzít ze 750m; dostaneme tedy:

II. 1650c + 825v + 725m.

V I je nutno kapitalisovat 550m; zůstane-li dřívější poměr, tvoří z toho 440 konstantní kapitál a 110 variabilní kapitál. Těchto 110 může být vzato ze 725 IIm, tj. spotřební předměty v hodnotě 110 budou spotřebovány dělníky I místo kapitalisty II, kapitalisté II budou tedy nuceni těchto 110m, jež nemohou spotřebovat, kapitalisovat. Ze 725 IIm tak zbývá 615 IIm. Přemění-li však II těchto 110 takto v dodatečný konstantní kapitál, potřebuje ještě 55 dodatečného variabilního kapitálu; bude je muset vzít opět ze své nadhodnoty; odečteme-li je od 615 IIm, zbude na spotřebu kapitalistů II 560; po všech těchto skutečných i potenciálních přesunech dostaneme kapitálovou hodnotu:

viz str. 534

Má-li věc probíhat normálně, musí se akumulace ve II uskutečňovat rychleji než v I, neboť jinak by část I(v + m), která musí být směněna za zboží IIc, rostla rychleji než IIc, za něž jedině může být směněna.

Pokračuje-li reprodukce na tomto základě a za jinak stejných podmínek, dostaneme na konci následujícího roku:

viz str. 535a

Při neměnící se míře dělení nadhodnoty musí být především v I vydáno jako důchod 1210v a polovina m = 605, celkem 1815. Tento spotřební fond je opět o 55 větší než IIc. Odečteme-li těchto 55 od 880m, zbude 825. Protože se 55 IIm přeměňuje ve IIc, předpokládá to další srážku s IIm na příslušný variabilní kapitál = 271/2; zbývá 7971/2 IIm na spotřebu.

Nyní se má v I kapitalisovat 605m; z toho 484 konstantního a 121 variabilního kapitálu; 121 variabilního kapitálu se musí odečíst od IIm, jež nyní činí 7971/2; zbývá 6761/2 IIm. II tedy přemění dalších 121 v konstantní kapitál a potřebuje k tomu další variabilní kapitál = 601/2; ten se rovněž bere ze 6761/2; 616 zbývá pro spotřebu.

Máme pak kapitálu:

viz str. 535b

a na konci roku výrobku:

viz str. 535c

Opakujeme-li tento výpočet a zaokrouhlíme-li zlomky, dostaneme na konci dalšího roku výrobek:

viz str. 535d

A na konci ještě dalšího roku:

viz str. 536a

Během čtyř let reprodukce v rozšířeném měřítku vzrostl celkový kapitál I a II z 5500c + 1750v = 7250 na 8784c + 2782v = 11.566, tedy v poměru 100 : 160. Celková nadhodnota byla původně 1750, nyní činí 2782. Spotřebovaná nadhodnota byla na počátku 500 pro I a 535 pro II, úhrnem 1035; v posledním roce byla 732 pro I a 958 pro II, úhrnem = 1690. Vzrostla tedy v poměru 100 : 163.

2. Druhý příklad

Vezměme nyní roční výrobek 9000, který je celý jako zbožní kapitál v rukou třídy průmyslových kapitalistů, ve formě, v níž všeobecný průměrný poměr variabilního a konstantního kapitálu je 1 : 5. To předpokládá: již značný rozvoj kapitalistické výroby a tomu odpovídající rozvoj produktivní síly společenské práce; značné rozšíření měřítka výroby, které nastalo již dříve; konečně rozvoj všech okolností, které vytvářejí relativní přebytek obyvatelstva v dělnické třídě. Roční výrobek se pak bude, zaokrouhlíme-li zlomky, rozdělovat takto:

viz str. 536b

Dejme tomu nyní, že kapitalisté I. skupiny polovinu nadhodnoty = 500 spotřebují a druhou polovinu akumulují. Pak by se (1000v + 500m) I = 1500 muselo směňovat za 1500 IIc. Ale poněvadž tu IIc činí jen = 1430, musí se 70 přidat z nadhodnoty; odečtou-li se od 285 IIm, zbude 215 IIm. Dostaneme tedy:

I. 5000c + 500m (má se kapitalisovat) + 1500(v + m) ve spotřebním fondu kapitalistů a dělníků.

II. 1430c + 70m (má se kapitalisovat) + 285v + 215m.

Protože se přitom 70 IIm připojuje přímo k IIc, je k tomu, aby byl tento dodatečný konstantní kapitál uveden do pohybu, zapotřebí variabilní kapitál 70/5 = 14; těchto 14 se opět bere z 215 IIm; zbývá 201 IIm, a máme:

II. (1430c + 70c) + (285v + 14v) + 201m.

Směna 1500 I(v + ½m) za 1500 IIc je obyčejný proces akumulace, a o něm už bylo všechno řečeno. Ale musíme se tu zmínit ještě o některých zvláštnostech, které vyvěrají z toho, že při reprodukci spojené s akumulací není I(v + ½m) nahrazováno pouze IIc, nýbrž IIc plus částí IIm.

Je samozřejmé, že předpokládá-li se akumulace, je I(v + m) větší než IIc a nerovná se IIc jako při prosté reprodukci, neboť: 1) I včleňuje část svého nadvýrobku do svého vlastního produktivního kapitálu a přeměňuje 5/6 této části v konstantní kapitál, nemůže tedy těchto 5/6 zároveň nahradit spotřebními předměty II; 2) I musí ze svého nadvýrobku dodat materiál pro konstantní kapitál, jehož je zapotřebí pro akumulaci uvnitř II, stejně jako II musí dodat I materiál pro variabilní kapitál, který má uvést do pohybu tu část nadvýrobku I, jíž sama I používá jako dodatečného konstantního kapitálu. Víme, že skutečný variabilní kapitál, tedy i dodatečný, tvoří pracovní síla. Kapitalista I nemusí kupovat od II nutné životní prostředky do zásoby nebo je hromadit pro další pracovní sílu, které bude teprve používat, jako to musel dělat otrokář. Se skupinou II jednají sami dělníci. To však nebrání tomu, že s hlediska kapitalisty jsou spotřební předměty další pracovní síly jen prostředky k výrobě a udržení jeho případné dodatečné pracovní síly, tedy naturální formou jeho variabilního kapitálu. Jeho vlastní nejbližší operace, v daném případě operace I, spočívá jen v tom, že hromadí nutný nový peněžní kapitál, jehož je zapotřebí k nákupu další pracovní síly. Jakmile ji připojí ke svému kapitálu, stávají se peníze pro tuto pracovní sílu prostředkem ke koupi zboží II, musí tedy [peníze] najít příslušné spotřební předměty.

Mimochodem. Pan kapitalista i jeho tisk bývají mnohdy nespokojeni se způsobem, jakým pracovní síla vydává své peníze, a se zbožími II, v nichž tyto peníze realisuje. Filosofuje při této příležitosti, žvaní o kultuře a dělá ze sebe lidumila, jako na př. p. Drummond, tajemník anglického vyslanectví ve Washingtonu: „The Nation“ {časopis} uveřejnil koncem října 1879 zajímavý článek, v němž mimo jiné stojí: „V kultuře neudrželi dělníci krok s pokrokem vynálezů; stalo se jim dostupným množství předmětů, jichž nedovedou použít a pro něž tedy nevytvářejí trh.“ {Každý kapitalista si ovšem přeje, aby dělník kupoval jeho zboží.} „Není důvodu, proč by si dělník neměl dopřát stejný přepych jako kněz, advokát nebo lékař, který vydělá tolik jako on.“ {Takoví advokáti, kněží a lékaři by si asi mohli dovolit velký přepych!} „Ale on to nečiní. Je stále otázka, jak jeho úroveň jako spotřebitele zvednout racionálními a zdravými opatřeními; není to lehká otázka, protože celá jeho ctižádost nesahá dále než ke zkrácení pracovní doby, a demagogové ho štvou spíše právě k tomu než k tomu, aby si zlepšil své postavení zdokonalením svých rozumových a morálních schopností.“ („Reports of H. M.‘s Secretaries of Embassy and Legation on the Manufactures, Commerce etc. of the Countries in which they reside“. Londýn 1879, str. 404.)

Dlouhý pracovní den je zřejmě tajemstvím racionálních a zdravých opatření, která mají zlepšit postavení dělníka tím, že zdokonalí jeho rozumové a morální schopnosti, a učinit z něho racionálního spotřebitele. Má-li se stát racionálním spotřebitelem zboží kapitalistů, musí dělník začít — ale demagog mu vtom brání! — především tím, že dovolí svému vlastnímu kapitalistovi, aby spotřebovával jeho pracovní sílu neracionálně a způsobem, který škodí zdraví. Jak kapitalista chápe racionální spotřebu, je vidět na truckovém systému, kde blahosklonnost kapitalisty jde tak daleko, že přímo zasahuje do spotřeby svých dělníků, při čemž jednou z mnoha odrůd toho je také poskytování bytů dělníkům, takže kapitalista je zároveň domácím pánem svých dělníků.

Týž Drummond, jehož krásná duše horuje pro kapitalistické pokusy pozvednout úroveň dělnické třídy, vypravuje v téže zprávě mezi jiným také o vzorných bavlnářských továrnách Lowell and Lawrence Mills. Budovy, v nichž se stravují a bydlí dívky zaměstnané v továrně, patří akciové společnosti, která je majitelkou továrny; správkyně těchto domů jsou ve službách téže společnosti, která pro ně stanoví pravidla chování; žádná dívka nesmí přijít domů po 10. hodině večer. Ale nyní perla: zvláštní policie společnosti hlídkuje v okolí, aby se tento domácí řád neporušoval. Po 10. hodině večerní není žádná dívka ani vpuštěna dovnitř, ani puštěna ven. Žádná dívka nesmí bydlet jinde než na území patřícím společnosti, jíž každý dům na tomto území vynáší kolem 10 dolarů činže týdně; a tady vidíme v celé slávě racionálního spotřebitele: „Poněvadž je v mnoha nejlepších obytných domech pro dělnice nepostradatelné piano, hraje hudba, zpěv a tanec významnou úlohu aspoň u těch, které po monotonní nepřetržité desetihodinové práci u tkalcovského stavu potřebují spíše změnu než skutečný odpočinek.“ (Str. 412.) Ale hlavní tajemství, jak z dělníka udělat racionálního spotřebitele, teprve přijde. Pan Drummond navštívil továrnu na nožířské zboží Turner‘s Falls (Connecticut River) a pan Oakman, pokladník akciové společnosti, mu vypráví, že americké stolní nože překonávají jakostí anglické, a pokračuje: „Překonáme Anglii i cenami; už nyní nad ní máme převahu v jakosti, to se uznává; ale musíme prodávat za nižší ceny, a toho dosáhneme, jakmile dostaneme levněji ocel a zlevníme práci!“ (Str. 427.) Snižování mzdy a dlouhý pracovní den — to je jádro racionálních a zdravých opatření, která mají dělníka povýšit do hodnosti racionálního spotřebitele, aby vytvořil trh pro množství předmětů, které mu kultura a pokrok vynálezů učinily dostupnými.

*

Jako tedy musí I dodat dodatečný konstantní kapitál II ze svého nadvýrobku, tak dodává II v tomto smyslu dodatečný variabilní kapitál pro I. Pokud jde o variabilní kapitál, akumuluje II pro I i pro sebe, reprodukujíc větší část svého celkového výrobku, tedy i svého nadvýrobku, ve formě nutných spotřebních předmětů.

Při výrobě na základě rostoucího kapitálu musí být I(v + m) rovno IIc plus části nadvýrobku, která je opět přivtělena ke kapitálu, plus dodatečné části konstantního kapitálu, jíž je zapotřebí k rozšíření výroby ve II; a minimum tohoto rozšíření musí být takové, bez jakého není možná skutečná akumulace, tj. skutečné rozšíření výroby, ani ve skupině I.

Vrátíme-li se k případu, který jsme naposled zkoumali, vidíme, že má tu zvláštnost, že IIc je menší než I(v + ½m), než část výrobku I vydávaná jako důchod na spotřební předměty, takže se už tím, že se smění 1500 I(v + m), ihned realisuje i část nadvýrobku II = 70. Pokud jde o IIc = 1430, musí být, aby mohlo dojít k prosté reprodukci ve II, za jinak stejných podmínek nahrazeno z I(v + m) v téže hodnotě, a potud není třeba dále se jím zde zabývat. Jinak je tomu s dodatečnými 70 IIm. To, co je pro I pouhým nahrazením důchodu spotřebními předměty, pouhou směnou zboží zaměřenou na spotřebu, není zde pro II — jako při prosté reprodukci — jen zpětnou přeměnou jejího konstantního kapitálu z formy zbožního kapitálu v naturální formu, nýbrž přímým procesem akumulace, přeměnou části jejího nadvýrobku z formy spotřebních předmětů ve formu konstantního kapitálu. Koupí-li I za 70 liber št. v penězích (peněžní reserva k přeměně nadhodnoty) těchto 70 IIm, a nekoupí-li potom II za to 70 Im, nýbrž akumuluje těchto 70 liber št. jako peněžní kapitál, je tento kapitál sice vždy výrazem dodatečného výrobku (a to nadvýrobku II, jehož částí je), třebaže ne takového výrobku, který by znovu vcházel do výroby; ale pak by tato akumulace peněz na straně II zároveň vyjadřovala, že 70 Im ve výrobních prostředcích nelze prodat. V I by tedy docházelo k relativní nadvýrobě, která by odpovídala současné nemožnosti rozšířit reprodukci na straně II.

Ale bez ohledu na to, po dobu, v níž se oněch 70 v penězích, které odešly od I, buď k I vůbec nevrátilo, anebo se vrátilo jen zčásti koupí 70 Im II. skupinou, figuruje 70 v penězích zcela nebo zčásti v rukou II jako dodatečný potenciální peněžní kapitál. To platí o každé směně mezi I a II, dokud vzájemné nahrazení zboží na obou stranách nevyvolá návrat peněz k jejich výchozímu bodu. Ale při normálním průběhu tu peníze figurují v této úloze jen přechodně. V úvěrové soustavě, kde všechny peníze, které se třeba jen na čas dodatečně uvolnily, musí ihned fungovat aktivně jako dodatečný peněžní kapitál, může být takový jen přechodně volný kapitál pevně uložen, může na př. sloužit k novým podnikům v I, zatím co by měl realisovat ještě ležící dodatečný výrobek v jiných podnicích. Je třeba dále poznamenat, že připojení 70 Im ke konstantnímu kapitálu II vyžaduje zároveň zvětšení variabilního kapitálu II o 14. To předpokládá — podobně jako v I při bezprostředním připojení nadvýrobku Im ke kapitálu Ic — že reprodukce ve II už probíhá s tendencí k další kapitalisaci; že tedy zahrnuje zvětšení části nadvýrobku, která se skládá z nutných životních prostředků.

*

Jak jsme viděli, musí se ve druhém příkladě výrobek 9000, má-li být 500 Im kapitalisováno, rozdělovat za účelem reprodukce tak, jak uvádíme dále. Přitom počítáme jen se zbožím a ponecháváme stranou oběh peněz.

I. 5000c + 500m (má se kapitalisovat) + 1500(v + m) spotřebního fondu = 7000 ve zboží.

II. 1500c + 299v + 201m = 2000 ve zboží. Celková suma 9000 ve zbožním výrobku.

Kapitalisace se pak děje takto:

V I se dělí 500m, které se kapitalisují, na 5/6 417c + 1/6 = 83v. Tyto 83v berou stejnou sumu z IIm, za kterou se kupují prvky konstantního kapitálu a která se tedy připojuje k IIc. Zvětšení IIc o 83 podmiňuje zvětšení IIv o 1/5 z 83 = 17. Máme tedy po směně:

vzorec

Kapitál I vzrostl ze 6000 na 6500, tedy o 1/12. Ve II z 1715 na 1899, tedy o necelou 1/9.

Ve druhém roce dává reprodukce na tomto základě na konci roku kapitál:

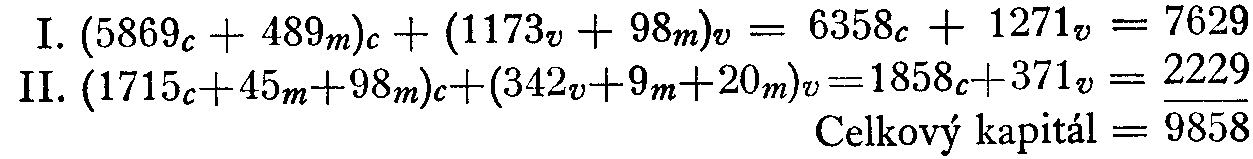
I. (5417c + 452m)c + (1083v + 90m)v = 5869c + 1173v = 7042.

II. (1583c + 42m + 90m)c + (316v + 8m + 18m)v = 1715c + 342v = 2057, a na konci třetího roku dostaneme výrobku:

I. 5869c + 1173v + 1173m.
II. 1715c + 342v + 342m.

Akumuluje-li přitom I, jako dosud, polovinu nadhodnoty, činí I(v + 1/2m) 1173v+587(1/2m) = 1760, je tedy větší než celých 1715 IIc, a to o 45. Tento rozdíl musí tedy být zase vyrovnán převodem stejné sumy výrobních prostředků do IIc. IIc se tedy zvětšuje o 45, což podmiňuje přírůstek o 1/5= 9 ve IIv. Potom se kapitalisovaných 587 Im dělí z 5/6 a 1/6 na 489c a 98v; těchto 98 podmiňuje ve II nový přídavek ve výši 98 ke konstantnímu kapitálu, a to zase způsobuje zvětšení variabilního kapitálu II o 1/5 = 20. Máme pak:

vzorec

Při rostoucí reprodukci vzrostl tedy celkový kapitál I za tři léta z 6000 na 7629, celkový kapitál II z 1715 na 2229, celkový společenský kapitál ze 7715 na 9858.

3. NAHRAZOVÁNÍ IIc PŘI AKUMULACI

Při směně I(v + m) za IIc dochází tedy k různým případům.

Při prosté reprodukci musí si být obě tyto veličiny rovny a vzájemně se nahrazovat, neboť jinak, jak jsme viděli dříve, nemůže docházet k prosté reprodukci bez poruch.

Při akumulaci záleží především na míře akumulace. Dosud jsme ve všech případech předpokládali, že míra akumulace v I = 1/2m I, a také to, že je v různých letech stálá. Měnili jsme jen poměr, v němž se tento akumulovaný kapitál dělí na konstantní a variabilní. Při tom jsme dostali tři případy:

1) I(v + 1/2m) = IIc, které je tedy menší než I(v + m). Tak tomu musí vždy být, jinak by I neakumulovala.

2) I(v + 1/2m) je větší než IIc. V tomto případě se dosahuje nahrazení tím, že se k IIc připojuje příslušná část IIm, takže úhrn = I(v + 1/2m). Nahrazení tu není pro II prostou reprodukcí jejího konstantního kapitálu, nýbrž už akumulací, jeho zvětšením o část jejího nadvýrobku, kterou směňuje za výrobní prostředky I; toto zvětšení zároveň předpokládá, že II mimo to ze svého vlastního nadvýrobku příslušně zvětšuje svůj variabilní kapitál.

3) I(v + 1/2m) je menší než IIc. V tomto případě nereprodukuje II směnou svůj konstantní kapitál úplně, musí proto nahradit deficit koupí od I. To však nevyvolává další akumulaci variabilního kapitálu II, protože její konstantní kapitál se co do velikosti úplně reprodukuje až touto operací. Na druhé straně ta část kapitalistů I, která hromadí jen dodatečný peněžní kapitál, už touto směnou akumulaci tohoto druhu zčásti provedla.

Předpoklad prosté reprodukce, totiž aby I(v + m) bylo IIc, je nejen neslučitelný s kapitalistickou výrobou — což ostatně nevylučuje, že v průmyslovém cyklu 10—11 let bývá celková výroba jednoho roku často menší než v předcházejícím roce, takže ve srovnání s minulým rokem nedochází ani k prosté reprodukci — nýbrž také, při přirozeném ročním přírůstku obyvatelstva, by mohlo docházet k prosté reprodukci jen potud, pokud by se příslušně větší počet neproduktivních služebníků podílel na.spotřebě 1500, které představují celkovou nadhodnotu. Naproti tomu akumulace kapitálu, tj. skutečná kapitalistická výroba, by přitom byla nemožná. Fakt, že kapitalistická akumulace existuje, vylučuje proto, aby IIc bylo = I(v + m). Ale i při kapitalistické akumulaci by mohl nastat případ, že by v důsledku průběhu akumulačního procesu, který se odehrál v řadě dřívějších výrobních období, bylo IIc nejen stejné, nýbrž dokonce větší než I(v + m). To by znamenalo nadvýrobu ve II, kterou lze odstranit jen velkým krachem, čímž by se kapitál přesunul z II do I. — Poměr I(v + m) k IIc se nijak nemění, reprodukuje-li část konstantního kapitálu II sama sebe; příkladem toho je v zemědělství používání osiva vlastní výroby. Při směně mezi I a II se nemusí s touto částí IIc počítat, tak jako se nemusí počítat s Ic. Na věci se nic nemění ani tehdy, je-li část výrobků skupiny II s to vstoupit do I jako výrobní prostředky. Kryjí se částí výrobních prostředků dodaných skupinou I, a tato část se musí předem na obou stranách odečíst, chceme-li směnu mezi dvěma velkými skupinami společenské výroby, mezi výrobci výrobních prostředků a výrobci spotřebních předmětů zkoumat v čisté a nezkalené podobě.

Za kapitalistické výroby nemůže tedy být I(v + m) rovno IIc a obě tyto veličiny se nemohou při směně navzájem krýt. Naproti tomu, je-li Im/x tou částí Im, kterou vydávají kapitalisté I jako důchod, může být I(v + m/x) stejné jako IIc nebo větší či menší než IIc; I(v + m/x)) musí však být vždy menší než II(c + m), a to menší o část IIm, kterou musí kapitalisté II. skupiny za všech okolností spotřebovat sami.

Je třeba poznamenat, že při tomto znázornění akumulace není přesně vyjádřena hodnota konstantního kapitálu, pokud je tento konstantní kapitál částí hodnoty zbožního kapitálu, jehož výroby se účastní. Fixní část nově akumulovaného konstantního kapitálu vchází do zbožního kapitálu jen postupně a periodicky, podle různé povahy těchto fixních prvků: proto v těch případech, kde suroviny a polotovary vcházejí do výroby zboží hromadně, tvoří největší část tohoto zbožního kapitálu to, co nahrazuje oběžnou konstantní součást kapitálu a variabilní kapitál. (Ale to se může stát jen u obratu oběžných součástí; předpokládá se tím, že se oběžná část spolu s částí hodnoty fixního kapitálu, která na ni byla přenesena, obrátí za rok tolikrát, že se celková suma zhotovených zboží rovná hodnotě celkového kapitálu, který vchází do roční výroby.) Ale tam, kde pro strojní výrobu vcházejí jen pomocné látky místo surovin, musí se prvek práce = v znovu objevit ve zbožním kapitálu jako jeho větší součást. Zatím co v míře zisku se nadhodnota vypočítává z celkového kapitálu, bez ohledu na to, zda fixní součásti přenášejí na výrobek periodicky mnoho nebo málo hodnoty — je k hodnotě každého periodicky vyráběného zbožního kapitálu nutno připočítávat fixní část konstantního kapitálu jen potud, pokud průměrně opotřebováním předává hodnotu přímo výrobku.

IV. Dodatky

Původním zdrojem peněz pro II je (v + m) výroby zlata I, směňované za část IIc jen pokud výrobce zlata nadhodnotu hromadí nebo ji přeměňuje ve výrobní prostředky I, tedy rozšiřuje svou výrobu, nevchází jeho (v + m) do II; na druhé straně, pokud akumulace peněz výrobcem zlata vede nakonec k rozšířené reprodukci, vchází část nadhodnoty výroby zlata, která není vydávána jako důchod, ale na dodatečný variabilní kapitál výrobce zlata, do II, napomáhá tu novému tvoření pokladů nebo dává nové prostředky k tomu, aby se od I mohlo kupovat, aniž by se jí zase přímo prodávalo. Z peněz, které pocházejí z tohoto I(v + m) výroby zlata, odchází část zlata do určitých výrobních odvětví II, které je potřebují jako surovinu a pod., krátce jako prvek nahrazující jejich konstantní kapitál. Prvek předběžného tvoření pokladu — za účelem budoucího rozšíření reprodukce — objevuje se při směně mezi I a II jen v těchto případech: pro I jen tehdy, je-li část Im prodána II jednostranně, bez odpovídající koupě, a slouží tu pro dodatečný konstantní kapitál II; pro II tehdy, stane-li se totéž v I pro dodatečný variabilní kapitál; dále tehdy, není-li část nadhodnoty, kterou I vydá jako důchod, kryta IIc, takže se za ni koupí a tak přemění v peníze část IIv. Je-li I(v + m/x) větší než IIc, není k prosté reprodukci c zapotřebí nahrazovat zbožím z I to, co si I vzala na spotřebu z IIm. Je otázka, jak dalece může v rámci směny mezi kapitalisty II — při čemž tato směna může být jen vzájemnou směnou IIm — docházet k tvoření pokladu. Víme, že uvnitř II. skupiny dochází k přímé akumulaci tím, že část IIm se přeměňuje přímo ve variabilní kapitál (právě tak jako se v I část Im přeměňuje přímo v konstantní kapitál). Při různém stáří akumulace v různých výrobních odvětvích II. skupiny a v podnicích každého jednotlivého odvětví pro jednotlivé kapitalisty se věc vysvětluje mutatis mutandis [s nutnými změnami] stejně jako ve skupině I. Jedni jsou ještě ve stadiu tvoření pokladů, prodávají, aniž kupují; druzí už dosáhli bodu skutečného rozšiřování reprodukce, kupují, aniž prodávají. Dodatečný variabilní peněžní kapitál se sice napřed vydává na dodatečnou pracovní sílu; ale dělníci kupují životní prostředky od těch majitelů dodatečných spotřebních předmětů vcházejících do spotřeby dělníků, kteří tvoří poklad. Tou měrou, jak tito majitelé dodatečných spotřebních předmětů tvoří poklad, nevracejí se od nich peníze ke svému výchozímu bodu: tito majitelé je hromadí.

__________________________________

Poznámky:

57 Odtud až do konce rukopis VIII.

* V němčině „wuchernd“, od „wuchern“, což znamená lichvařit i bujet. — Pozn. red. knižního vydání

58 To znamená jednou provždy konec rozepře mezi Jamesem Millem a S. Baileyem o akumulaci kapitálu, která byla s jiného hlediska probrána v knize I (kapitola XXII, 5, pozn. 65), totiž sporu o rozšíření působnosti průmyslového kapitálu při jeho nezměněné velikosti. Vrátit se k tomu později.